2020-2021学年金色联盟浙江省百校联考数学试题及答案小编已经整理好了,需要的伙伴来答案圈核对

本次考试的其他科目的答案小编也有整理,需要核对参考的伙伴直接在答案圈高三年级搜索即可查看
















2020-2021学年金色联盟浙江省百校联考语文试题及答案
2020-09-27 15:22:32
2020-2021学年金色联盟浙江省百校联考语文试题及答案小编已经整理好了,需要的伙伴来答案圈核对2020-2021学年金色联盟浙江省百校联考语文试题及答案本次考试的其他科目的答案
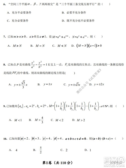
巴蜀中学2021届高考适应性月考卷二数学试题及答案
2020-09-27 15:07:59
巴蜀中学2021届高考适应性月考卷二数学试题及答案小编已经整理好了,需要的伙伴来答案圈核对巴蜀中学2021届高考适应性月考卷二数学试题及答案本次考试的其他科目的答案小编也
泉州市2021届普通高中毕业班质量检测一数学试题及答案
2020-09-27 14:56:46
泉州市2021届普通高中毕业班质量检测一数学试题及答案小编已经整理好了,需要的伙伴来答案圈核对泉州市2021届普通高中毕业班质量检测一数学试题及答案本次考试的其他科目的答
2021届西南名校联盟高三复习备考联合质量检测卷二文科数学试题及答案
2020-09-23 19:19:57
2021届西南名校联盟高三复习备考联合质量检测卷二文科数学试题及答案小编已经整理好了,做完作业的伙伴可以来答案圈核对看看2021届西南名校联盟高三复习备考联合质量检测卷二