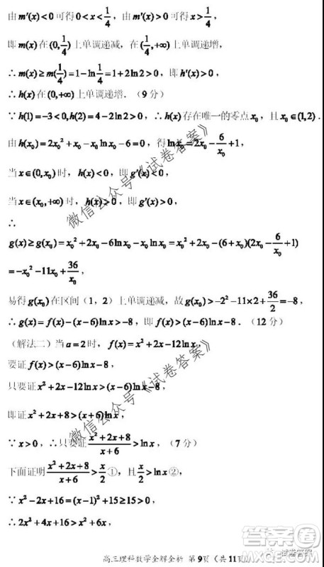
河南省中原名校联盟2020-2021学年高三上学期第一次质量考评理科数学试题及答案小编已经整理好发布在答案圈了,感兴趣的来看看吧!

本次考试的其他科目的答案小编也有整理,需要核对参考的伙伴直接在答案圈高三年级搜索即可查看















云南师大附中2021届高考适应性月考卷一理科数学试题及答案
2020-09-08 16:22:15
云南师大附中2021届高考适应性月考卷一理科数学试题及答案小编已经收集整理好了,感兴趣的伙伴来答案圈看看云南师大附中2021届高考适应性月考卷一理科数学试题及答案本次考试
2021届内蒙古包头市高三起点调研考试文理科数学试题及答案
2020-09-07 15:35:57
2021届内蒙古包头市高三起点调研考试文理科数学试题及答案小编已经收集整理好了,感兴趣的伙伴来答案圈看看2021届内蒙古包头市高三起点调研考试文理科数学试题及答案本次考试
合肥市2021届高三调研性检测理科数学试题及答案
2020-09-07 13:30:53
合肥市2021届高三调研性检测理科数学试题及答案小编已经收集整理好了,需要核对参考的伙伴来答案圈看看合肥市2021届高三调研性检测理科数学试题及答案本次联考的其他科目的答
2021届南昌零模高三理科数学试题及答案
2020-09-05 10:36:41
2021届南昌零模高三理科数学试题及答案小编已经收集整理好了,感兴趣的伙伴来答案圈看看2021届南昌零模高三理科数学试题及答案本次考试的其他科目的答案小编也有整理收集,大家