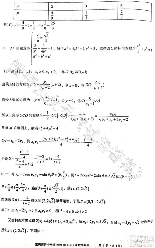
重庆南开中学高2021级高三8月月考数学试题及答案小编已经收集整理好了,练习完的伙伴来答案圈看看

本书系列的其他年级和科目答案小编也有收集整理,大家可以在答案圈对应的年级搜索查看








2021届菏泽高三开学考试数学试题及答案
2020-08-13 09:47:17
2021届菏泽高三开学考试数学试题及答案小编已经收集整理好了,需要核对参考的伙伴可以来答案圈看看2021届菏泽高三开学考试数学试题及答案本次联考的其他科目的答案小编也有整
2020年山东省新高考预测卷数学试题及答案
2020-07-03 15:34:10
2020年山东省新高考预测卷数学试题及答案小编已经收集好了,感兴趣的来答案圈了解一下2020年山东省新高考预测卷数学试题及答案本次联考的其他科目的答案小编也有整理收集,大家
2020年高考命题专家押题卷文科数学试题及答案
2020-07-03 15:18:58
2020年高考命题专家押题卷文科数学试题及答案小编已经收集好了,感兴趣的来答案圈了解一下2020年高考命题专家押题卷文科数学试题及答案本次联考的其他科目的答案小编也有整理
2020年高考命题专家押题卷理科数学试题及答案
2020-07-03 15:06:19
2020年高考命题专家押题卷理科数学试题及答案小编已经收集好了,感兴趣的来答案圈了解一下2020年高考命题专家押题卷理科数学试题及答案本次联考的其他科目的答案小编也有整理