哈师大附中2020年高三第三次模拟考试理科数学试题及答案小编已经收集整理在答案圈了,大家在练习完可以来核对看看

本次联考的其他科目的答案小编也有整理,需要的伙伴可以直接在答案圈高三年级搜索查看














哈师大附中2020年高三第三次模拟考试语文试题及答案
2020-06-16 09:42:34
哈师大附中2020年高三第三次模拟考试语文试题及答案小编已经收集整理在答案圈了,大家在练习完可以来核对看看哈师大附中2020年高三第三次模拟考试语文试题及答案本次联考的其
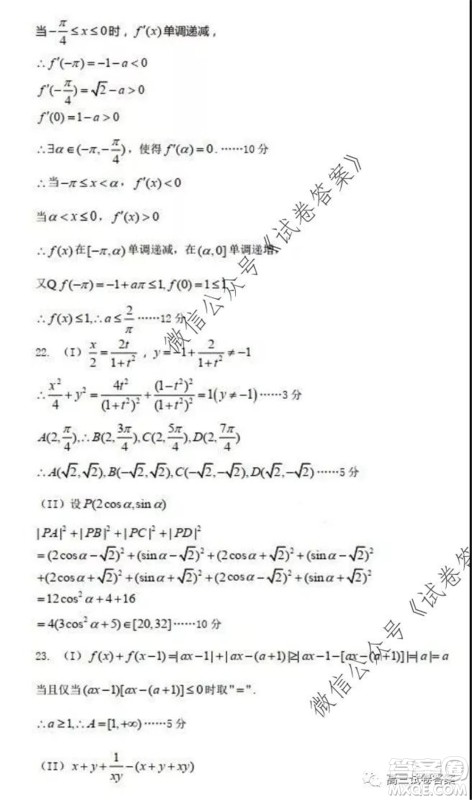
山西省太原市2020年高三年级模拟试题三理科数学试题及答案
2020-06-16 08:50:46
山西省太原市2020年高三年级模拟试题三理科数学试题及答案小编已经收集整理在答案圈了,大家在练习完可以来核对看看山西省太原市2020年高三年级模拟试题三理科数学试题及答案
重庆三诊2020年重庆6月调研测试卷理科数学试题及答案
2020-06-16 08:09:51
重庆三诊2020年重庆6月调研测试卷理科数学试题及答案小编已经收集整理在答案圈了,大家在练习完可以来核对看看重庆三诊2020年重庆6月调研测试卷理科数学试题及答案本次联考的
2020年南昌三模高三理科数学试题及答案
2020-06-15 17:46:11
2020年南昌三模高三理科数学试题及答案小编已经收集整理在答案圈了,大家在练习完可以来核对看看2020年南昌三模高三理科数学试题及答案本次联考的其他科目的答案小编也有整理