江西省重点中学协作体2020届高三年级第二次联考理科数学试题及答案小编已经收集整理在答案圈了,需要的伙伴可以来看看哦

本次联考的其他科目的答案小编也有整理,需要的伙伴可以直接在答案圈高三年级搜索查看










江西省重点中学协作体2020届高三年级第二次联考文科数学试题及答案
2020-06-06 10:20:16
江西省重点中学协作体2020届高三年级第二次联考文科数学试题及答案小编已经收集整理在答案圈了,需要的伙伴可以来看看哦江西省重点中学协作体2020届高三年级第二次联考文科数
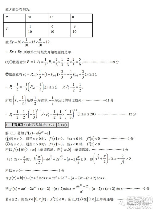
贵阳市2020年高三适应性考试二理科数学试题及答案
2020-06-06 10:07:18
贵阳市2020年高三适应性考试二理科数学试题及答案小编已经收集整理在答案圈了,需要的伙伴可以来看看哦贵阳市2020年高三适应性考试二理科数学试题及答案本次联考的其他科目的
2020年皖南八校高三临门一卷理科数学试题及答案答案
2020-06-06 09:37:40
2020年皖南八校高三临门一卷理科数学试题及答案答案小编已经收集整理在答案圈了,需要的伙伴可以来看看哦2020年皖南八校高三临门一卷理科数学试题及答案答案本次联考的其他科
江西省重点中学协作体2020届高三年级第二次联考语文试题及答案
2020-06-05 15:13:24
江西省重点中学协作体2020届高三年级第二次联考语文试题及答案小编已经收集整理好了,大家需要的可以来答案圈看看。江西省重点中学协作体2020届高三年级第二次联考语文试题及