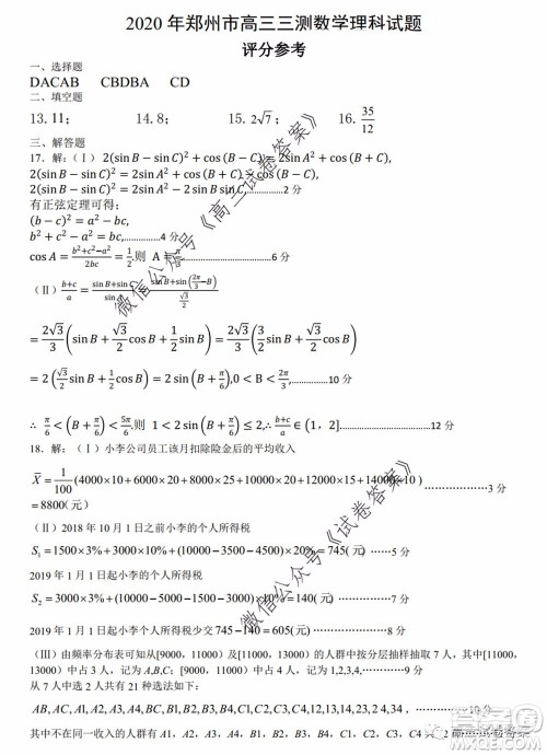
郑州三模2020年高中毕业年级第三次质量预测理科数学试题及答案小编已经收集整理好了,大家需要的可以来答案圈看看。

本次联考的其他科目的答案小编也有整理,需要的伙伴可以直接在答案圈高三年级搜索查看









郑州三模2020年高中毕业年级第三次质量预测理科综合试题及答案
2020-06-04 10:37:01
郑州三模2020年高中毕业年级第三次质量预测理科综合试题及答案小编已经收集整理好了,大家需要的可以来答案圈看看。郑州三模2020年高中毕业年级第三次质量预测理科综合试题及
郑州三模2020年高中毕业年级第三次质量预测文科综合试题及答案
2020-06-04 10:25:26
郑州三模2020年高中毕业年级第三次质量预测文科综合试题及答案小编已经收集整理好了,大家需要的可以来答案圈看看。郑州三模2020年高中毕业年级第三次质量预测文科综合试题及
天一大联考2019-2020学年高中毕业班阶段性测试六理科数学试题及答案
2020-06-04 10:09:36
天一大联考2019-2020学年高中毕业班阶段性测试六理科数学试题及答案小编已经收集整理好了,大家需要的可以来答案圈看看。天一大联考六联与濮阳二模与安阳三模一样,大家核对的
内江市高中2020届第三次模拟考试理科数学试题及答案
2020-06-03 08:44:52
内江市高中2020届第三次模拟考试理科数学试题及答案小编已经收集整理好了,大家需要的可以来答案圈看看内江市高中2020届第三次模拟考试理科数学试题及答案本次联考的其他科目