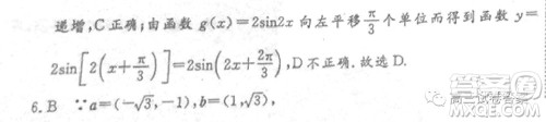
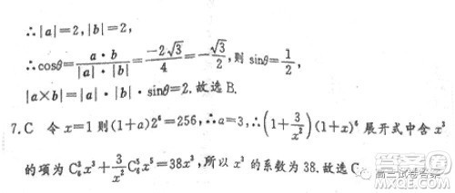
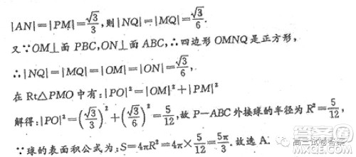
衡水中学2019-2020届高考考前密卷一理科数学试题及答案小编已经收集整理好了,感兴趣的伙伴可以来答案圈看看哦

本次联考的其他科目的答案小编也有整理,需要的伙伴可以直接在答案圈高三年级搜索查看


































毕节市2020届高三年级诊断性考试三理科数学试题及答案
2020-06-01 11:41:05
毕节市2020届高三年级诊断性考试三理科数学试题及答案小编已经整理好了,感兴趣的伙伴来答案圈查看毕节市2020届高三年级诊断性考试三理科数学试题及答案本次联考的其他科目的
漳州市2020届高中毕业班第三次教学质量检测理科数学试题及答案
2020-06-01 10:33:18
漳州市2020届高中毕业班第三次教学质量检测理科数学试题及答案小编已经整理好了,感兴趣的伙伴来答案圈查看漳州市2020届高中毕业班第三次教学质量检测理科数学试题及答案本次
临汾市2020年高考考前适应性训练考试三理科数学试题及答案
2020-06-01 08:58:30
临汾市2020年高考考前适应性训练考试三理科数学试题及答案小编已经整理好了,感兴趣的伙伴来答案圈查看临汾市2020年高考考前适应性训练考试三理科数学试题及答案本次联考的其
江西省重点中学盟校2020届高三第二次联考理科数学试题及答案
2020-06-01 08:20:17
江西省重点中学盟校2020届高三第二次联考理科数学试题及答案小编已经整理好了,感兴趣的伙伴来答案圈查看江西省重点中学盟校2020届高三第二次联考理科数学试题及答案本次联考