新疆2020年高三年级第三次诊断性测试文科数学试题及答案小编已经整理在答案了,需要参考的伙伴可以来看看

本次联考的其他科目的答案小编也有整理,需要的伙伴可以直接在答案圈高三年级搜索查看








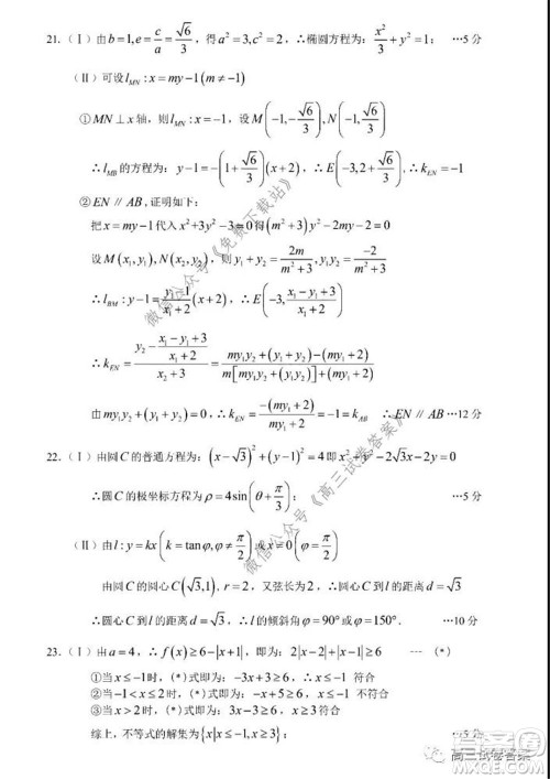
新疆2020年高三年级第三次诊断性测试理科数学试题及答案
2020-05-19 11:16:49
新疆2020年高三年级第三次诊断性测试理科数学试题及答案小编已经整理在答案了,需要参考的伙伴可以来看看新疆2020年高三年级第三次诊断性测试理科数学试题及答案本次联考的其
新疆2020年高三年级第三次诊断性测试语文试题及答案
2020-05-19 11:08:13
新疆2020年高三年级第三次诊断性测试语文试题及答案小编已经整理在答案了,需要参考的伙伴可以来看看新疆2020年高三年级第三次诊断性测试语文试题及答案本次联考的其他科目的
淮南市2020届高三第二次模拟考试文科数学试题及答案
2020-05-19 09:53:31
淮南市2020届高三第二次模拟考试文科数学试题及答案小编已经整理在答案圈,感兴趣的伙伴可以来看看哦淮南市2020届高三第二次模拟考试文科数学试题及答案本次联考的其他科目的
河北衡水中学2020届全国高三第三次联合考试文科数学试题及答案
2020-05-19 09:27:14
河北衡水中学2020届全国高三第三次联合考试文科数学试题及答案小编已经整理在答案圈,感兴趣的伙伴可以来看看哦河北衡水中学2020届全国高三第三次联合考试文科数学试题及答案