江西省八所重点中学2020届高三联考文科数学试题及答案小编已经整理在答案圈,感兴趣的伙伴可以来看看哦

本次联考的其他科目的答案小编也有整理,需要的伙伴可以直接在答案圈高三年级搜索查看






江西省八所重点中学2020届高三联考理科数学试题及答案
2020-05-14 08:37:30
江西省八所重点中学2020届高三联考理科数学试题及答案小编已经整理在答案圈,感兴趣的伙伴可以来看看哦江西省八所重点中学2020届高三联考理科数学试题及答案本次联考的其他科
2020届高三湖北八校第二次联考文科数学试题及答案
2020-05-13 16:22:39
2020届高三湖北八校第二次联考文科数学试题及答案小编已经整理在答案圈,感兴趣的伙伴可以来看看哦2020届高三湖北八校第二次联考文科数学试题及答案本次联考的其他科目的答案
2020年晋中三模高三文科数学试题及答案
2020-05-12 11:27:45
2020年晋中三模高三文科数学试题及答案小编已经整理在答案圈,感兴趣的伙伴可以来看看哦2020年晋中三模高三文科数学试题及答案本次联考的其他科目的答案小编也有整理,需要的伙
黔东南州2020届高考模拟考试文科数学试题及答案
2020-05-11 19:06:37
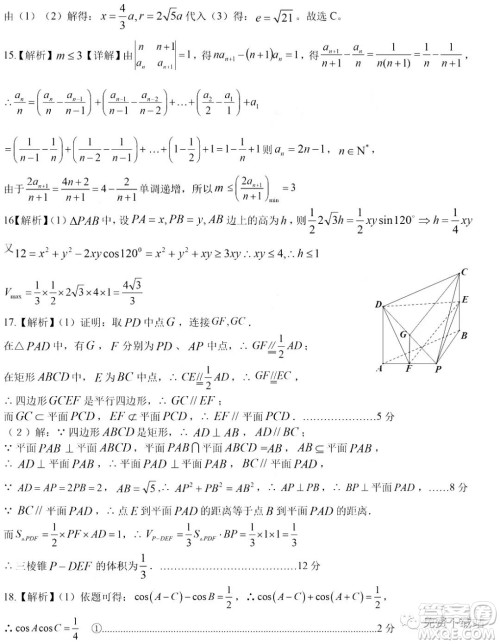
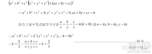
黔东南州2020届高考模拟考试文科数学试题及答案小编已经整理在答案圈,练习完的伙伴可以来核对看看哦!黔东南州2020届高考模拟考试文科数学试题及答案本次联考的其他科目的答