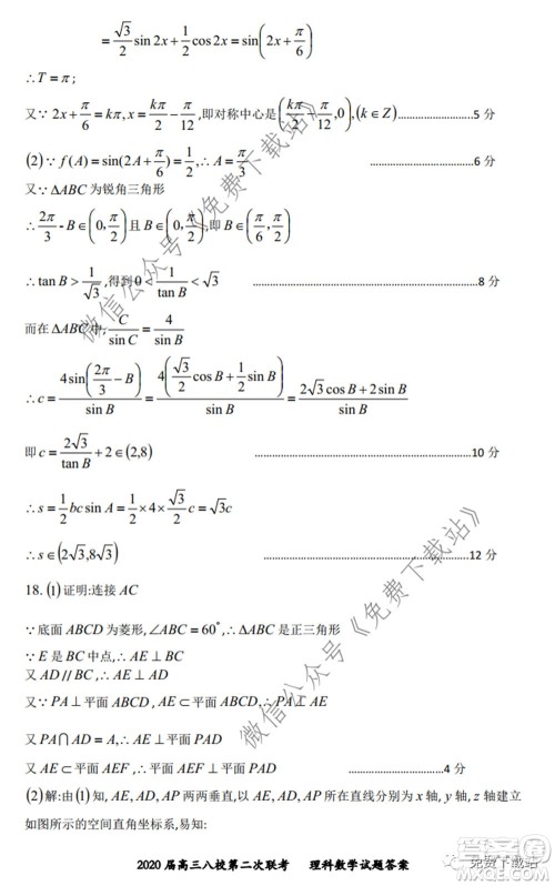
2020届高三湖北八校第二次联考理科数学试题及答案小编已经整理在答案圈,感兴趣的伙伴可以来看看哦

本次联考的其他科目的答案小编也有整理,需要的伙伴可以直接在答案圈高三年级搜索查看












百校联盟2020届5月高三联考全国二卷理科数学试题及答案
2020-05-12 14:20:43
百校联盟2020届5月高三联考全国二卷理科数学试题及答案小编已经整理在答案圈,感兴趣的伙伴可以来看看哦百校联盟2020届5月高三联考全国二卷理科数学试题及答案本次联考的其他
百校联盟2020届5月高三联考全国二卷理科数学试题及答案
2020-05-12 14:04:27
百校联盟2020届5月高三联考全国二卷理科数学试题及答案小编已经整理在答案圈,感兴趣的伙伴可以来看看哦百校联盟2020届5月高三联考全国二卷理科数学试题及答案本次联考的其他
2020年晋中三模高三理科数学试题及答案
2020-05-12 11:41:42
2020年晋中三模高三理科数学试题及答案小编已经整理在答案圈,感兴趣的伙伴可以来看看哦2020年晋中三模高三理科数学试题及答案本次联考的其他科目的答案小编也有整理,需要的伙
黔东南州2020届高考模拟考试理科数学试题及答案
2020-05-11 19:18:17
黔东南州2020届高考模拟考试理科数学试题及答案小编已经整理在答案圈,练习完的伙伴可以来核对看看哦!黔东南州2020届高考模拟考试理科数学试题及答案本次联考的其他科目的答
2020届湖北高三八校联考答案