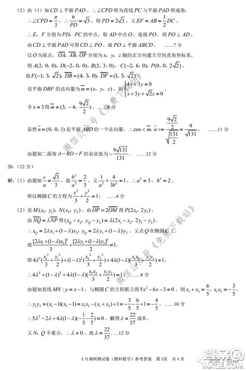
2020年重庆5月调研测试卷康德卷理科数学试题及答案小编已经整理在答案圈,练习完的伙伴可以来核对看看哦!

本次联考的其他科目的答案小编也有整理,需要的伙伴可以直接在答案圈高三年级搜索查看








2020年重庆5月调研测试卷康德卷语文试题及答案
2020-05-09 10:23:27
2020年重庆5月调研测试卷康德卷语文试题及答案小编已经整理在答案圈,练习完的伙伴可以来核对看看哦!2020年重庆5月调研测试卷康德卷语文试题及答案本次联考的其他科目的答案
2020年金榜教育高三五月联考F020理科数学试题及答案
2020-05-09 09:41:23
2020年金榜教育高三五月联考F020理科数学试题及答案小编已经整理在答案圈,练习完的伙伴可以来核对看看哦!2020年金榜教育高三五月联考F020理科数学试题及答案本次联考的其他
宜城市2020届高三年级第二次调研测试理科数学试题及答案
2020-05-09 08:33:49
宜城市2020届高三年级第二次调研测试理科数学试题及答案小编已经整理在答案圈,练习完的伙伴可以来核对看看哦!宜城市2020届高三年级第二次调研测试理科数学试题及答案本次联
芜湖市2019-2020学年度第二学期高三年级教育教学质量监测理科数学试题及答案
2020-05-09 08:15:53
芜湖市2019-2020学年度第二学期高三年级教育教学质量监测理科数学试题及答案小编已经整理在答案圈,练习完的伙伴可以来核对看看哦!芜湖市2019-2020学年度第二学期高三年级教