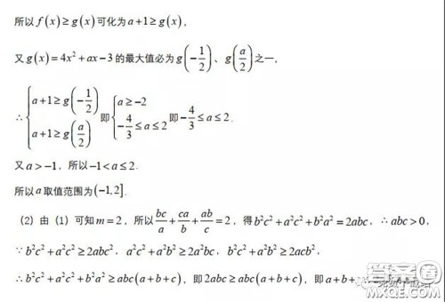
襄阳四中2020届高三下学期5月第一次周考理科数学试题及答案小编整理在答案圈了,练习完得伙伴记得来核对一下看看自己对每天学习得知识掌握的怎么样

本次联考的其他科目的答案小编也有整理在答案圈,大家需要核对参考的可以直接在高三年级搜素查看
















襄阳四中2020届高三下学期5月第一次周考语文试题及答案
2020-05-05 08:33:04
襄阳四中2020届高三下学期5月第一次周考语文试题及答案小编整理在答案圈了,练习完得伙伴记得来核对一下看看自己对每天学习得知识掌握的怎么样襄阳四中2020届高三下学期5月第
河北金太阳2020届高三模拟考试理科数学试题及答案
2020-04-29 09:48:17
河北金太阳2020届高三模拟考试理科数学试题及答案小编已经整理在答案圈,练习完的伙伴可以来核对看看哦河北金太阳2020届高三模拟考试理科数学试题及答案本次联考的其他科目的
重庆市名校联盟高2020级二诊模拟考试理科数学试题及答案
2020-04-29 08:58:10
重庆市名校联盟高2020级二诊模拟考试理科数学试题及答案小编已经整理在答案圈,练习完的伙伴可以来核对看看哦重庆市名校联盟高2020级二诊模拟考试理科数学试题及答案本次联考
2020年娄底高三4月模拟考试理科数学试题及答案
2020-04-28 17:44:34
2020年娄底高三4月模拟考试理科数学试题及答案小编已经整理在答案圈,练习完的伙伴可以来核对看看哦2020年娄底高三4月模拟考试理科数学试题及答案本次联考的其他科目的答案小