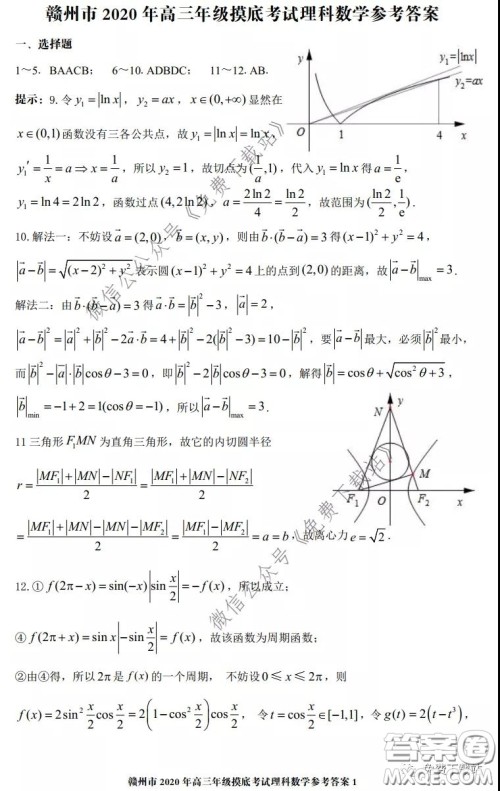
赣州市2020年高三年级摸底考试理科数学试题及答案小编已经整理在答案圈了,感兴趣的伙伴可以来看看

本次联考的其他科目的答案小编也有整理,需要的伙伴可以直接在答案圈高三年级搜索查看










2020年深圳市普通高中高三年级第二次线上测试理科数学试题及答案
2020-04-12 09:33:06
2020年深圳市普通高中高三年级第二次线上测试理科数学试题及答案小编已经整理在答案圈了,感兴趣的伙伴可以来看看2020年深圳市普通高中高三年级第二次线上测试理科数学试题及
临汾市2020年高考考前适应性训练考试二理科数学试题及答案
2020-04-12 08:57:50
临汾市2020年高考考前适应性训练考试二理科数学试题及答案小编已经整理在答案圈了,感兴趣的伙伴可以来看看临汾市2020年高考考前适应性训练考试二理科数学试题及答案本次联考
天一大联考顶尖计划2020届高中毕业班第二次考试理科数学试题及答案
2020-04-12 08:48:21
天一大联考顶尖计划2020届高中毕业班第二次考试理科数学试题及答案小编已经整理在答案圈了,感兴趣的伙伴可以来看看天一大联考顶尖计划2020届高中毕业班第二次考试理科数学试
2020年齐齐哈尔4月质检理科数学试题及答案
2020-04-11 17:00:32
2020年齐齐哈尔4月质检理科数学试题及答案小编已经整理在答案圈了,感兴趣的伙伴可以来看看2020年齐齐哈尔4月质检理科数学试题及答案本次联考的其他科目的答案小编也有整理,需