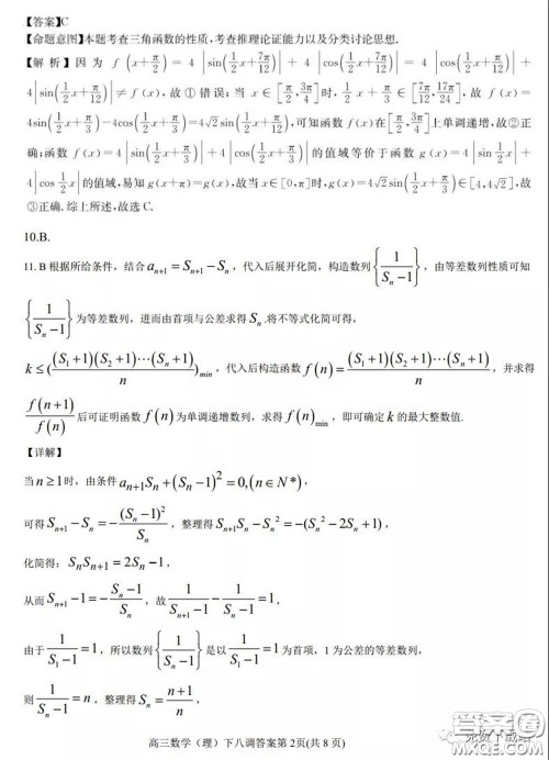
衡水中学2020年高三下学期第八次调研考试理科数学试题及答案小编已经整理在答案圈了,感兴趣的伙伴可以来看看

本次联考的其他科目的答案小编也有整理,需要的伙伴可以直接在答案圈高三年级搜索查看














衡水中学2020年高三下学期第八次调研考试文科数学试题及答案
2020-04-11 09:53:16
衡水中学2020年高三下学期第八次调研考试文科数学试题及答案小编已经整理在答案圈了,感兴趣的伙伴可以来看看衡水中学2020年高三下学期第八次调研考试文科数学试题及答案本次
郴州市2020届高三第二次教学质量监测试卷理科数学试题及答案
2020-04-10 16:24:01
郴州市2020届高三第二次教学质量监测试卷理科数学试题及答案小编已经整理在答案圈了,感兴趣的伙伴可以来看看郴州市2020届高三第二次教学质量监测试卷理科数学试题及答案本次
三湘名校教育联盟2020届高三第二次大联考理科数学试题及答案
2020-04-10 15:56:50
三湘名校教育联盟2020届高三第二次大联考理科数学试题及答案小编已经整理在答案圈了,感兴趣的伙伴可以来看看三湘名校教育联盟2020届高三第二次大联考理科数学试题及答案本次
安徽六校教育研究会2020届高三第二次素质测试理科数学试题及答案
2020-04-08 17:50:58
安徽六校教育研究会2020届高三第二次素质测试理科数学试题及答案小编已经整理在答案圈了,感兴趣的伙伴可以来看看安徽六校教育研究会2020届高三第二次素质测试理科数学试题及