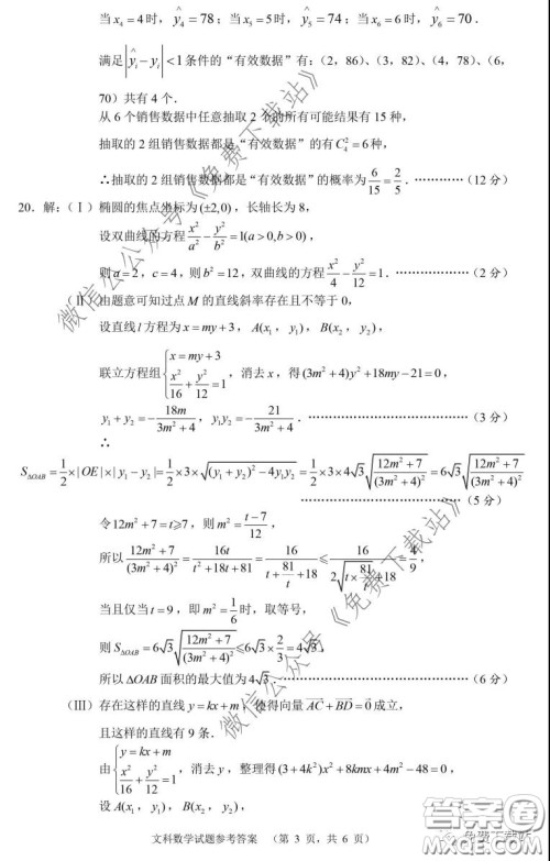
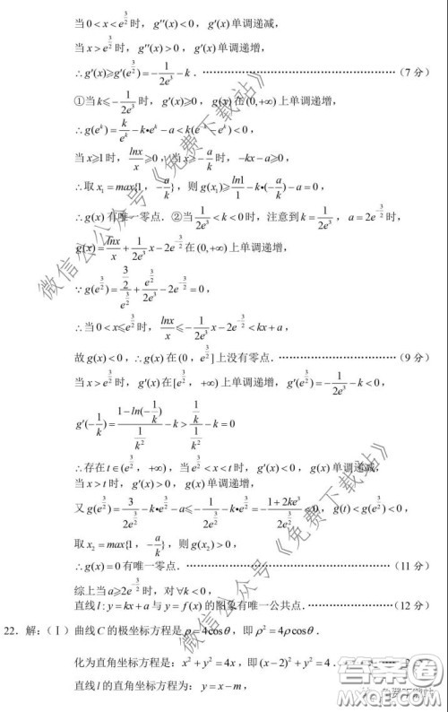
长郡中学2020届高三适应性考试三文科数学试题及答案小编已经整理在答案圈了,需要参考的伙伴可以来看看

本次联考系列的其他科目的答案小编也有收集整理,大家可以根据自己的需要在答案圈高三年级搜索查看












长郡中学2020届高三适应性考试三理科数学试题及答案
2020-04-07 08:41:43
长郡中学2020届高三适应性考试三理科数学试题及答案小编已经整理在答案圈了,需要参考的伙伴可以来看看长郡中学2020届高三适应性考试三理科数学试题及答案本次联考系列的其他
长郡中学2020届高三适应性考试三语文试题及答案
2020-04-07 08:30:58
长郡中学2020届高三适应性考试三语文试题及答案小编已经整理在答案圈了,需要参考的伙伴可以来看看长郡中学2020届高三适应性考试三语文试题及答案本次联考系列的其他科目的答
柳州高级中学2020届高三4月线上测试文科数学试题及答案
2020-04-05 11:53:26
柳州高级中学2020届高三4月线上测试文科数学试题及答案小编已经整理在答案圈了,需要参考的伙伴可以来看看柳州高级中学2020届高三4月线上测试文科数学试题及答案本次联考系列
安徽省2020年名校高考冲刺模拟卷文科数学试题及答案
2020-04-05 11:29:54
安徽省2020年名校高考冲刺模拟卷文科数学试题及答案小编已经整理在答案圈了,需要参考的伙伴可以来看看安徽省2020年名校高考冲刺模拟卷文科数学试题及答案本次联考系列的其他