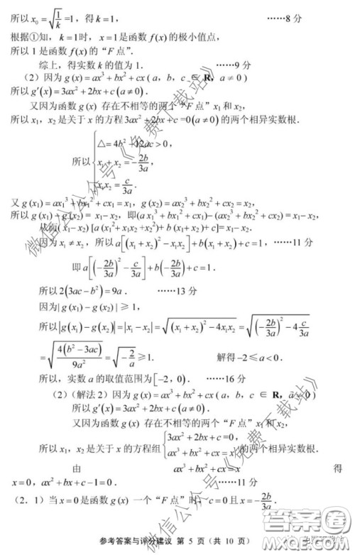
江苏七市2020届高三第二次调研考试数学试题及答案小编已经整理在答案圈了,需要参考的伙伴可以来看看

本次联考系列的其他科目的答案小编也有收集整理,大家可以根据自己的需要在答案圈高三年级搜索查看















2020年中原金科大联考高三4月质量检测理科数学试题及答案
2020-04-04 09:35:26
2020年中原金科大联考高三4月质量检测理科数学试题及答案小编已经整理在答案圈了,需要参考的伙伴可以来看看2020年中原金科大联考高三4月质量检测理科数学试题及答案本次联考
安徽省2020年名校高考冲刺模拟卷理科数学试题及答案
2020-04-04 09:15:15
安徽省2020年名校高考冲刺模拟卷理科数学试题及答案小编已经整理在答案圈了,需要参考的伙伴可以来看看安徽省2020年名校高考冲刺模拟卷理科数学试题及答案本次联考系列的其他
蓉城名校联盟2017级高三第二次联考文科数学试题及答案
2020-04-04 08:54:32
蓉城名校联盟2017级高三第二次联考文科数学试题及答案小编已经整理在答案圈了,需要参考的伙伴可以来看看蓉城名校联盟2017级高三第二次联考文科数学试题及答案本次联考系列的
江苏七市2020届高三第二次调研考试语文试题及答案
2020-04-03 17:28:09
江苏七市2020届高三第二次调研考试语文试题及答案小编已经整理在答案圈了,需要参考的伙伴可以来看看江苏七市2020届高三第二次调研考试语文试题及答案本次联考系列的其他科目