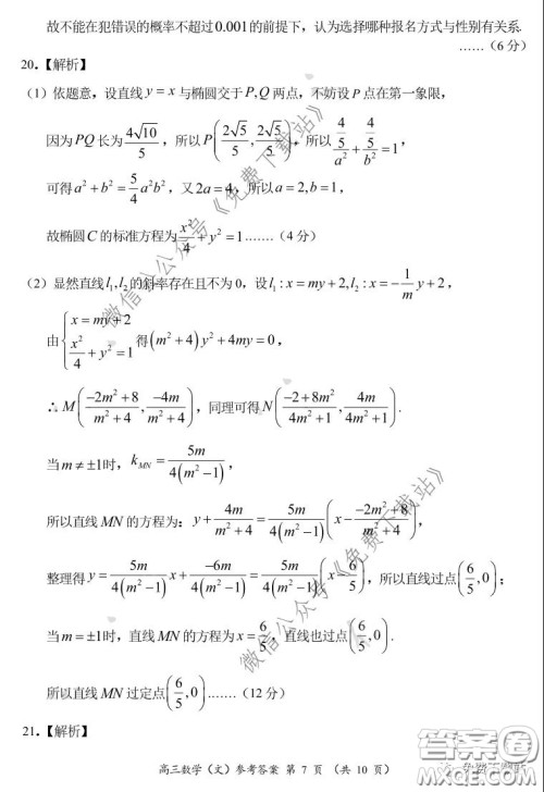
中原名校2019-2020学年下期质量考评一文科数学试题及答案小编已经整理在答案圈了,需要参考的伙伴快来看看吧

本次联考的其他科目的答案小编也有整理,需要核对参考的伙伴直接在答案圈高三年级搜索即可查看














中原名校2019-2020学年下期质量考评一理科数学试题及答案
2020-04-04 12:09:48
中原名校2019-2020学年下期质量考评一理科数学试题及答案小编已经整理在答案圈了,需要参考的伙伴快来看看吧中原名校2019-2020学年下期质量考评一理科数学试题及答案本次联考
中原名校2019-2020学年下期质量考评一语文试题及答案
2020-03-30 14:30:49
中原名校2019-2020学年下期质量考评一语文试题及答案小编已经整理在答案圈了,需要参考的伙伴快来看看吧中原名校2019-2020学年下期质量考评一语文试题及答案本次联考的其他科
2020年福建省高三毕业班质量检查测试文科数学试题及答案
2020-03-30 13:35:16
2020年福建省高三毕业班质量检查测试文科数学试题及答案小编已经整理在答案圈了,需要参考的伙伴快来看看吧2020年福建省高三毕业班质量检查测试文科数学试题及答案本次联考的
九师联盟3月高二在线公益联考文科数学试题及答案
2020-03-30 10:43:49
九师联盟3月高二在线公益联考文科数学试题及答案小编已经整理在答案圈了,考完的伙伴可以来核对看看做好每次复习的查漏补缺工作九师联盟3月高二在线公益联考文科数学试题及答