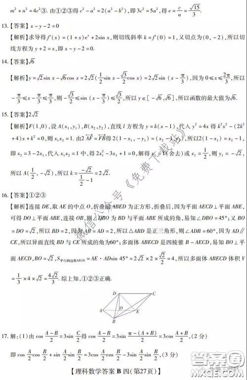
2020年名校学术联盟高考模拟信息卷押题卷四理科数学答案小编已经整理好了,大家在练习后可以核对下,做好每天学习巩固

本次联考的其他科目的答案小编也有收集整理,需要的伙伴可以直接在答案圈高三年级搜索查看








2020年名校学术联盟高考模拟信息卷押题卷四语文试题及答案
2020-03-10 12:14:53
2020年名校学术联盟高考模拟信息卷押题卷四语文试题及答案小编已经整理好了,大家在练习后可以核对下,做好每天学习巩固2020年名校学术联盟高考模拟信息卷押题卷四语文试题及答
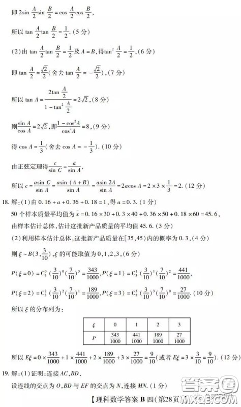
2020年全国100所名校最新高考模拟示范卷四理科数学答案
2020-03-07 10:53:08
2020年全国100所名校最新高考模拟示范卷四理科数学答案小编已经整理好了,大家在练习后可以核对下,做好每天学习巩固2020年全国100所名校最新高考模拟示范卷四理科数学答案本次
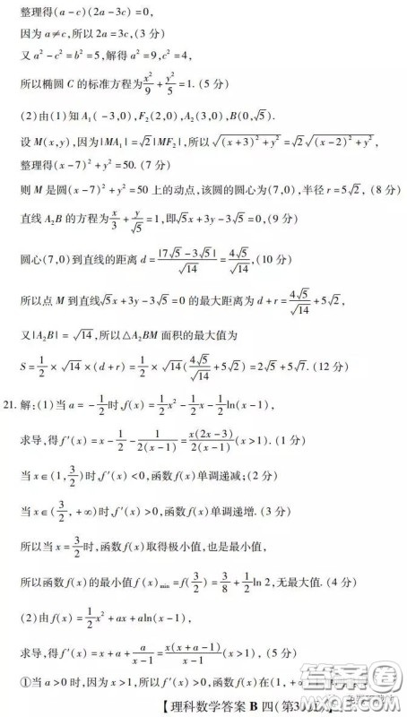
2020年名校学术联盟高考模拟信息卷押题卷理科数学答案
2020-03-05 11:32:50
2020年名校学术联盟高考模拟信息卷押题卷理科数学答案小编已经整理好了,大家在练习后可以核对下,做好每天学习巩固2020年名校学术联盟高考模拟信息卷押题卷理科数学答案本次联
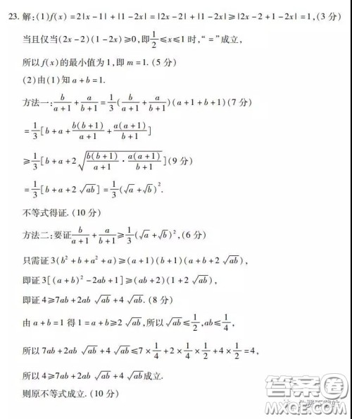
漳州市2020届高中毕业班高考适应性测试理科数学答案
2020-03-02 12:32:53
漳州市2020届高中毕业班高考适应性测试理科数学答案小编已经整理好了,大家在练习后可以核对下,做好每天学习巩固漳州市2020届高中毕业班高考适应性测试理科数学答案本次联考的