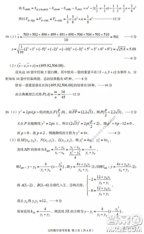
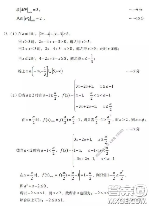
武汉市2020届3月高中毕业班学习质量检测文科数学试题及答案小编已经整理好了,大家在练习后可以核对下,做好每天学习巩固

本次联考的其他科目的答案小编也有收集整理,需要的伙伴可以直接在答案圈高三年级搜索查看












武汉市2020届3月高中毕业班学习质量检测理科数学试题及答案
2020-03-10 08:25:26
武汉市2020届3月高中毕业班学习质量检测理科数学试题及答案小编已经整理好了,大家在练习后可以核对下,做好每天学习巩固武汉市2020届3月高中毕业班学习质量检测理科数学试题及
武汉市2020届3月高中毕业班学习质量检测语文试题及答案
2020-03-09 16:55:24
武汉市2020届3月高中毕业班学习质量检测语文试题及答案小编已经整理好了,大家在练习后可以核对下,做好每天学习巩固武汉市2020届3月高中毕业班学习质量检测语文试题及答案本次
2020年金太阳高三联考4001C文科数学试题及答案
2020-03-09 16:46:44
2020年金太阳高三联考4001C文科数学试题及答案小编已经整理好了,大家在练习后可以核对下,做好每天学习巩固2020年金太阳高三联考4001C文科数学试题及答案本次联考的其他科目的
福州市2020届高三毕业班3月适应性练习卷文科数学试题及答案
2020-03-09 16:25:29
福州市2020届高三毕业班3月适应性练习卷文科数学试题及答案小编已经整理好了,大家在练习后可以核对下,做好每天学习巩固福州市2020届高三毕业班3月适应性练习卷文科数学试题及
2021武汉高三模拟考试系列答案