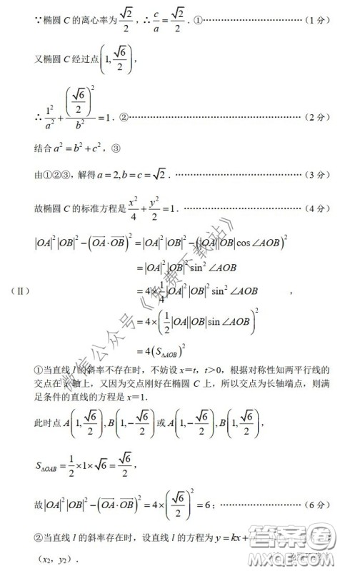
长郡中学2020届高三适应性考试二文科数学试题及答案小编已经整理好了,大家在练习后可以核对下,做好每天学习巩固

本次联考的其他年级和科目的答案小编也有收集整理,需要的伙伴可以直接在答案圈高三年级搜索查看















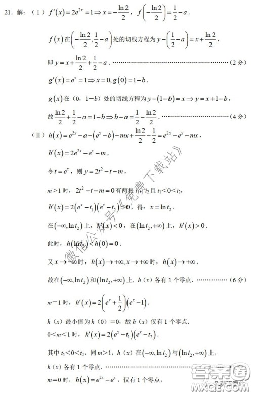
长郡中学2020届高三适应性考试二理科数学试题及答案
2020-03-06 15:32:18
长郡中学2020届高三适应性考试二理科数学试题及答案小编已经整理好了,大家在练习后可以核对下,做好每天学习巩固长郡中学2020届高三适应性考试二理科数学试题及答案本次联考的
2020年普通高等学校招生全国统一考试高考仿真模拟信息卷押题卷六文科数学试题及答案
2020-03-05 14:18:07
2020年普通高等学校招生全国统一考试高考仿真模拟信息卷押题卷六文科数学试题及答案小编已经整理好了,大家在练习后可以核对下,做好每天学习巩固2020年普通高等学校招生全国统
2020年全品高考仿真模拟卷文科数学试题及答案
2020-03-05 13:40:20
2020年全品高考仿真模拟卷文科数学试题及答案小编已经整理好了,大家在练习后可以核对下,做好每天学习巩固2020年全品高考仿真模拟卷文科数学试题及答案本次联考的其他科目的答
重庆市南开中学高2020级高三下3月考试文科数学试题及答案
2020-03-03 17:05:09
重庆市南开中学高2020级高三下3月考试文科数学试题及答案小编已经整理好了,大家在练习后可以核对下,做好每天学习巩固重庆市南开中学高2020级高三下3月考试文科数学试题及答案