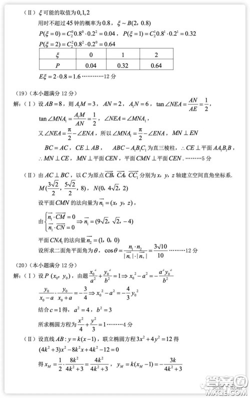
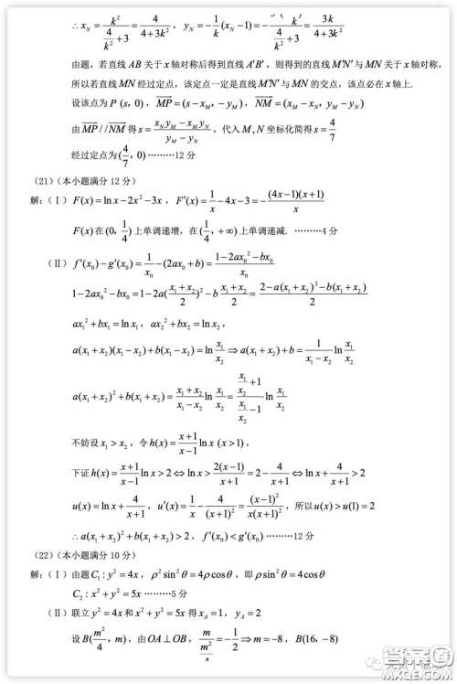
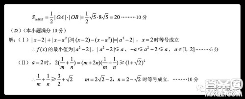
2020届重庆南开中学高三2月测试理科数学试题及答案小编已经整理好了,大家在练习后可以核对下,做好每天学习巩固

本次联考的其他年科目的答案小编也有收集整理,需要的伙伴可以直接在答案圈高三年级搜索查看








重庆南开中学2020级高三第五次教学质量检测考试理科数学答案
2020-01-06 18:41:35
重庆南开中学2020级高三第五次教学质量检测考试理科数学答案小编已经整理在答案圈了,感兴趣的可以来看看!重庆南开中学2020级高三第五次教学质量检测考试理科数学答案本次联考
重庆南开中学2020届高三第四次教学质量监测考试英语答案
2019-12-09 15:48:32
小编这次收集整理的是重庆南开中学2020届高三第四次教学质量监测考试英语答案,考完的伙伴可以来核对看看哦重庆南开中学2020届高三第四次教学质量监测考试英语答案本次联考的
重庆南开中学2020届高三第四次教学质量监测考试文数答案
2019-12-09 15:29:37
小编这次收集整理的是重庆南开中学2020届高三第四次教学质量监测考试文数答案,考完的伙伴可以来核对看看哦重庆南开中学2020届高三第四次教学质量监测考试文数答案本次联考的
重庆南开中学2020届高三第四次教学质量监测考试理数答案
2019-12-09 15:12:18
小编这次收集整理的是重庆南开中学2020届高三第四次教学质量监测考试理数答案,考完的伙伴可以来核对看看哦重庆南开中学2020届高三第四次教学质量监测考试理数答案本次联考的