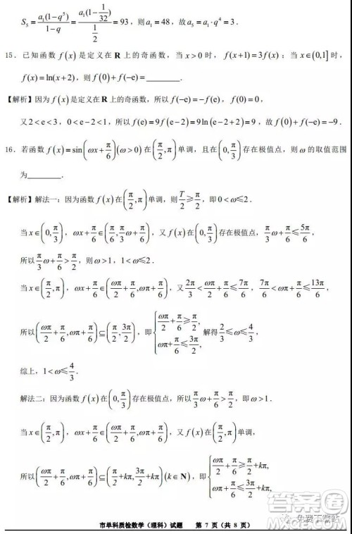
泉州市2020届高中毕业班单科质量检查理科数学试题及答案解析小编已经整理好了,需要核对参考的伙伴练习完可以来看看

本次联考的其他科目的答案小编也有整理,需要核对参考的伙伴直接在答案圈高三年级搜索即可查看



















泉州市2020届高中毕业班单科质量检查文科数学试题及答案解析
2020-01-22 10:03:35
泉州市2020届高中毕业班单科质量检查文科数学试题及答案解析小编已经整理好了,需要核对参考的伙伴练习完可以来看看泉州市2020届高中毕业班单科质量检查文科数学试题及答案解
2020届全国高考3+3分科综合卷一理科数学试题及答案解析
2019-09-20 16:17:11
2020届全国高考3+3分科综合卷一理科数学试题及答案解析小编已经整理在答案圈了,需要核对参考的伙伴注意查看哦!2020届全国高考3+3分科综合卷一理科数学试题及答案解析本次联
2019衡阳一模文科理科数学试题及答案解析
2019-03-10 10:13:21
2019衡阳一模文科理科数学试题及答案解析小编已经收集好了,需要参考的伙伴注意查看哦!前面是文科数学后面是理科数学的,大家查看是还请留意2019衡阳一模文科数学试题及答案解析
2019届湖南省长郡中学高三下学期第六次月考理科数学试题及答案解析
2019-02-24 09:16:04
2019届湖南省长郡中学高三下学期第六次月考理科数学试题及答案解析小编已经收集整理好了,考完的伙伴注意及时核对哦2019届湖南省长郡中学高三下学期第六次月考理科数学试题及