荆荆襄宜四地七校考试联盟2020届高三元月联考文科数学试题及答案小编已经整理好了,需要核对参考的伙伴练习完可以来看看

本次联考的其他科目的答案小编也有整理,需要核对参考的伙伴直接在答案圈高三年级搜索即可查看














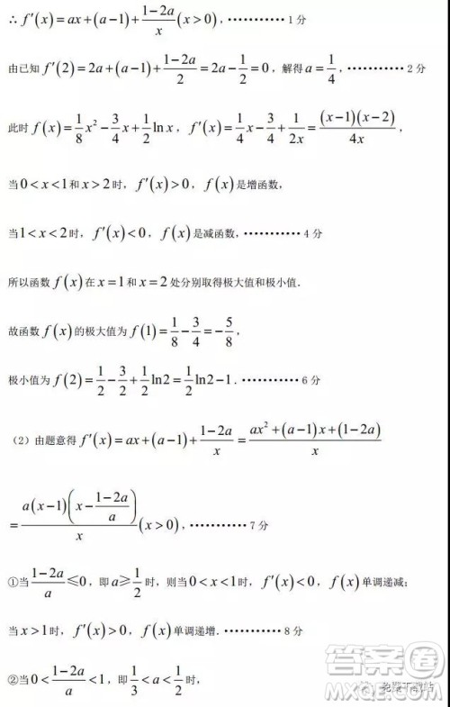
荆荆襄宜四地七校考试联盟2020届高三元月联考理科数学试题及答案
2020-01-20 16:27:51
荆荆襄宜四地七校考试联盟2020届高三元月联考理科数学试题及答案小编已经整理好了,需要核对参考的伙伴练习完可以来看看荆荆襄宜四地七校考试联盟2020届高三元月联考理科数学
2020届湖北荆荆襄宜四地七校考试联盟高三10月联考英语试题及答案
2019-11-09 12:01:36
2020届湖北荆荆襄宜四地七校考试联盟高三10月联考英语试题及答案小编已经收集整理好了,练习完就来核对一下吧!2020届湖北荆荆襄宜四地七校考试联盟高三10月联考英语试题及答案
2020届湖北荆荆襄宜四地七校考试联盟高三10月联考文科数学试题及答案
2019-10-31 13:28:07
2020届湖北荆荆襄宜四地七校考试联盟高三10月联考文科数学试题及答案小编已经收集整理好了,练习完就来核对一下吧!2020届湖北荆荆襄宜四地七校考试联盟高三10月联考文科数学试
2020届湖北荆荆襄宜四地七校考试联盟高三10月联考语文试题及答案
2019-10-31 11:54:48
2020届湖北荆荆襄宜四地七校考试联盟高三10月联考语文试题及答案小编已经收集整理好了,练习完就来核对一下吧!2020届湖北荆荆襄宜四地七校考试联盟高三10月联考语文试题及答案