珠海市2019-2020学年度第一学期普通高中学业质量监测文科数学试题及答案小编已经整理在答案圈了,感兴趣的伙伴可以来看看,假期的复习也不能放松哦!

本次联考的其他科目的答案小编也有整理,需要核对参考的伙伴直接在答案圈高三年级搜索即可查看










珠海市2019-2020学年度第一学期普通高中学业质量监测理科数学试题及答案
2020-01-19 13:29:06
珠海市2019-2020学年度第一学期普通高中学业质量监测理科数学试题及答案小编已经整理在答案圈了,感兴趣的伙伴可以来看看,假期的复习也不能放松哦!珠海市2019-2020学年度第一
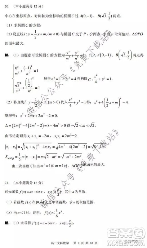
德宏州2020届高三年级秋季学期期末教学质量监测文科数学试题及答案
2020-01-19 11:45:25
德宏州2020届高三年级秋季学期期末教学质量监测文科数学试题及答案小编已经整理在答案圈了,感兴趣的伙伴可以来看看,假期的复习也不能放松哦!德宏州2020届高三年级秋季学期期
天一大联考2019-2020学年高三上学期期末考试文科数学试题及答案
2020-01-18 11:49:20
天一大联考2019-2020学年高三上学期期末考试文科数学试题及答案小编已经整理在答案圈了,感兴趣的伙伴可以来看看天一大联考2019-2020学年高三上学期期末考试文科数学试题及答
2020年马鞍山市高中毕业班第一次教学质量监测文科数学试题及答案
2020-01-18 11:47:48
2020年马鞍山市高中毕业班第一次教学质量监测文科数学试题及答案小编已经整理在答案圈了,感兴趣的伙伴可以来看看2020年马鞍山市高中毕业班第一次教学质量监测文科数学试题及