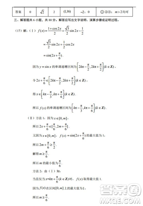
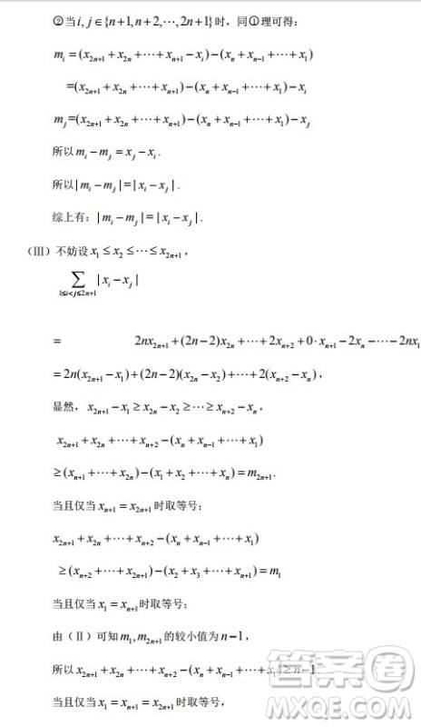
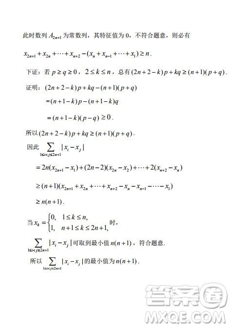
小编这次收集整理的是北京市海淀区2019-2020高三年级第一学期期末考试数学的答案,在做完之后可以来答案圈了解一下啊,看看自己做的对不对!

答案如下,仅供参考,不要直接照抄哦。其他学科的也有收集整理,直接站内搜海淀就可以了!















我的答案是“当然有价值”高三的期末考试成绩与你最后的高考成绩不会相差太多,高三的期末考试除了与平时考试一样有查缺补漏的作用外,更重要的是它无论是考试时间,出题难易程度,判卷方式都会高度模仿高考,所以这次成绩的价值很高,而且对于学习好的,要争取自主招生资格的同学,这次成绩是你要报考的大学的重要参考依据,是需要填在平时成绩里的,而且要求必须真实可靠,所以这次成绩的重要性也就不言而喻了。
但是,如果这次考试没发挥好也千万不要灰心丧气,坚定信心,更不要,心乱如麻,千万要保持平衡的心态,小编祝您高考取得好成绩
北京市海淀区2019-2020高三年级第一学期期末考试语文答案
2020-01-13 08:26:42
小编这次收集整理的是北京市海淀区2019-2020高三年级第一学期期末考试语文的答案,在做完之后可以来答案圈看看哦!北京市海淀区2019-2020高三年级第一学期期末考试语文答案答案
2020年1月济南市高三年级期末考试语文答案
2020-01-12 09:53:15
2020年1月济南市高三年级期末考试语文答案小编已经整理在答案圈了,每次的大型模拟考试都是对大家复习和心态一次检验,小伙伴们要慎重对待哦2020年1月济南市高三年级期末考试语
天津市部分区2019-2020学年高三第一学期期末考试地理答案
2020-01-08 17:59:04
这次小编整理的是天津市部分区2019-2020学年高三第一学期期末考试地理答案,考完的伙伴可以来核对看看自己在这一学期取得的成绩天津市部分区2019-2020学年高三第一学期期末考
天津市部分区2019-2020学年高三第一学期期末考试语文试题及答案
2020-01-04 10:15:12
这次小编整理的是天津市部分区2019-2020学年高三第一学期期末考试语文试题及答案,考完的伙伴可以来核对看看自己在这一学期取得的成绩天津市部分区2019-2020学年高三第一学期