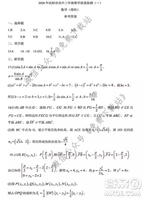
2020年沈阳市高中三年级教学质量检测一理数试题及答案小编已经整理在答案圈了,每次的大型模拟考试都是对大家复习和心态一次检验,小伙伴们要慎重对待哦

本次联考的其他科目的答案小编也有整理,需要核对参考的伙伴直接在答案圈高三年级搜索即可查看









淮北市2020届高三第一次模拟考试理数试题及答案
2020-01-07 16:57:14
淮北市2020届高三第一次模拟考试理数试题及答案小编已经整理在答案圈了,小伙伴们可以来核对一下,做好更加全面的高考备战淮北市2020届高三第一次模拟考试理数试题及答案本次联
天一大联考皖豫联盟体2020届毕业班第二次考试理数试题及答案
2019-12-28 08:57:19
天一大联考皖豫联盟体2020届毕业班第二次考试语文试题及答案小编已经收集整理好了,需要核对参考的伙伴可以来答案圈看看哦天一大联考皖豫联盟体2020届毕业班第二次考试语文试
西南名校联盟2020届高考复习质量监测四理数试题及答案
2019-11-29 09:51:05
这次小编整理的是西南名校联盟2020届高考复习质量监测四理数试题及答案,考完的伙伴可以来看看,做好每次考后的总结哦!西南名校联盟2020届高考复习质量监测四理数试题及答案本次
2020届河南八市重点高中联盟高三9月月考领军考试二文理数试题及答案
2019-09-30 11:08:22
2020届河南八市重点高中联盟高三9月月考领军考试二文理数试题及答案小编已经收集整理好了,需要核对参考的伙伴来答案圈看看吧2020届河南八市重点高中联盟高三9月月考领军考试