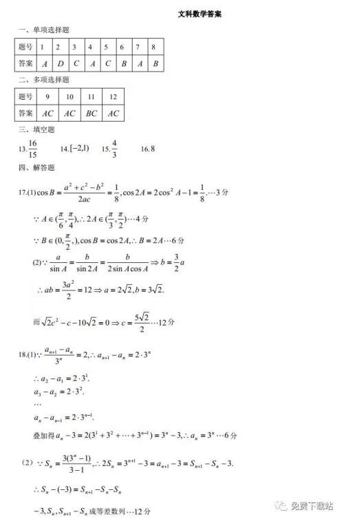
荆州市部分重点中学2020届高三年级12月联考文科数学试题及答案小编已经收集整理好了,需要核对参考的伙伴可以来答案圈看看哦

本次联考的其他科目的答案小编也有整理,需要核对参考的伙伴直接在答案圈高三年级搜索即可查看








全国百强校2020届高三年级第四次月考文科数学试题及答案
2019-12-31 18:51:03
全国百强校2020届高三年级第四次月考文科数学试题及答案小编已经收集整理好了,需要核对参考的伙伴可以来答案圈看看哦全国百强校2020届高三年级第四次月考文科数学试题及答案
巴蜀中学2020届高考适应性月考卷五文科数学试题及答案
2019-12-28 09:49:15
巴蜀中学2020届高考适应性月考卷五文科数学试题及答案小编已经收集整理好了,需要核对参考的伙伴可以来答案圈看看哦巴蜀中学2020届高考适应性月考卷五文科数学试题及答案本次
云南师大附中2020届高三第五次月考文科数学试题及答案
2019-12-28 09:29:12
云南师大附中2020届高三第五次月考文科数学试题及答案小编已经收集整理好了,需要核对参考的伙伴可以来答案圈看看哦云南师大附中2020届高三第五次月考文科数学试题及答案本次
河北省保定七校高三第三次联考文科数学试题及答案
2019-12-27 09:21:06
河北省保定七校高三第三次联考文科数学试题及答案小编已经收集整理好了,需要核对参考的伙伴可以来答案圈看看哦河北省保定七校高三第三次联考文科数学试题及答案本次联考的其