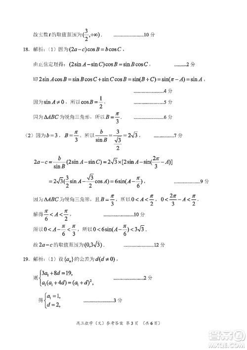
小编这次收集整理的是中原名校2019-2020学年上期第5次质量考评高三文科数学的答案,做完了的可以来看看哦!其他学科的和其他年级的也有收集整理

答案如下,仅供参考!






中原名校2019-2020学年上期第5次质量考评高三语文答案
2019-12-29 13:00:50
小编这次收集整理的是中原名校2019-2020学年上期第5次质量考评高三语文的答案,在做完之后可以来答案圈了解一下,看看自己做的对不对!中原名校2019-2020学年上期第5次质量考评高
中原名校2019-2020学年上期第5次质量考评高三地理答案
2019-12-29 12:52:19
小编这次收集整理的是中原名校2019-2020学年上期第5次质量考评高三地理的答案,在做完之后可以来答案圈了解一下啊,看看自己做的对不对!中原名校2019-2020学年上期第5次质量考评
中原名校2019-2020学年上期第5次质量考评高三物理答案
2019-12-29 12:52:18
小编这次收集整理的是中原名校2019-2020学年上期第5次质量考评高三物理的答案,做完了可以来答案圈了解一下,看看自己做的对不对!中原名校2019-2020学年上期第5次质量考评高三物
中原名校2019-2020学年上期第5次质量考评高三生物答案
2019-12-29 12:52:18
小编这次收集整理的是中原名校2019-2020学年上期第5次质量考评高三生物的答案,在做完之后可以来答案圈了解一下啊,看看自己做的对不对!中原名校2019-2020学年上期第5次质量考评