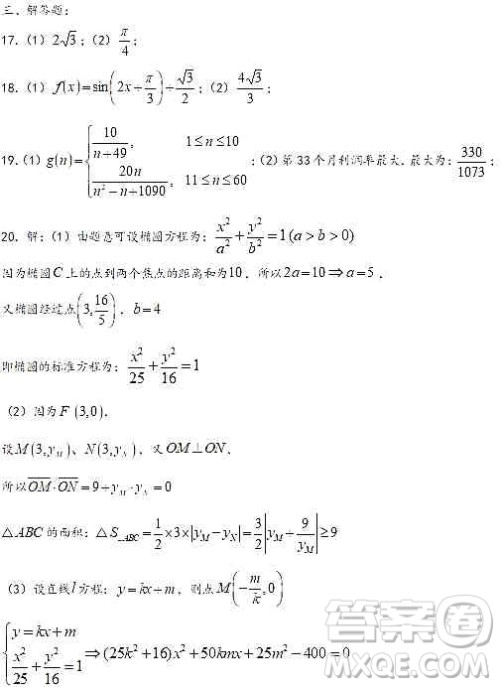
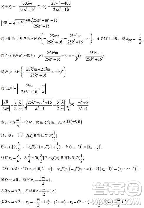
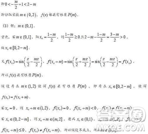
小编这次收集整理的是上海2020届青浦区高三数学一模试卷的答案,在做完之后可以来答案圈了解一下,看看自己做的对不对!

答案如下,仅供参考!










2020届上海长宁嘉定宝山区高三数学一模三区合卷答案
2019-12-22 11:58:54
小编这次收集整理的是2020届上海长宁嘉定宝山区高三数学一模三区合卷的答案,在做完之后可以来答案圈了解一下啊,看看自己做的对不对!2020届上海长宁嘉定宝山区高三数学一模三区
上海2020届普陀区一模数学试卷答案
2019-12-22 11:58:54
小编这次收集整理的是上海2020届普陀区一模数学试卷的答案,做完了的可以来看看,其他区的也有哦!上海2020届普陀区一模数学试卷答案答案如下,仅供参考!
上海2020届杨浦区高三数学一模试卷答案
2019-12-22 11:58:53
小编这次收集整理的是上海2020届杨浦区高三数学一模试卷的答案,在做完之后可以来答案圈了解一下啊,看看自己做的对不对!上海2020届杨浦区高三数学一模试卷答案答案如下,仅供参考
2020届上海黄浦区高三英语一模答案
2019-12-22 11:58:53
小编这次收集整理的是2020届上海黄浦区高三英语一模答案,在做完之后可以来答案圈了解一下,看看自己做的对不对!2020届上海黄浦区高三英语一模答案答案如下,仅供参考!
2020上海高三一模答案