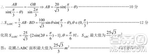
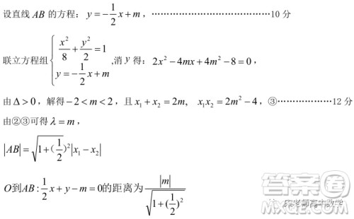
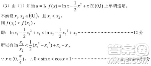
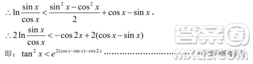
小编这次收集整理的是江苏省淮阴中学、姜堰中学2020届高三12月联考数学试题的答案,做完了的可以来答案圈了解一下哦!

答案如下,仅供参考!




























山东省九校2019年12月高三检测考试地理答案
2019-12-23 14:17:52
小编这次收集整理的是山东省九校2020届高三检测考试历史答案,其他学科的也有收集整理,直接站内搜就可以了,非常方便,可以来看一下评分细则,了解得分点是总结很重要的一部分
山东省九校2019年12月高三检测考试政治答案
2019-12-22 09:37:09
小编这次收集整理的是山东九校联考的高三检测试卷政治的答案,做完了的可以来看看。政治的得分点还是比较细的,大段都是文字,怎么做到精准表达这个是需要在学习中关注的地方!山东
山东省九校2019年12月高三检测考试数学答案
2019-12-22 09:28:50
小编这次收集整理的是山东省九校2019年12月高三检测考试数学的答案,在做完之后可以来答案圈了解一下,看看自己做的对不对,其他学科的可以站内直接搜山东省九校就可以了!山东省九
百校大联考2020届高三联考试卷四理科数学答案
2019-12-21 11:27:05
百校大联考2020届高三联考试卷四理科数学答案小编已经整理好了,需要核对答案的伙伴可以来答案圈看看百校大联考2020届高三联考试卷四理科数学答案本次联考的其他科目的答案小