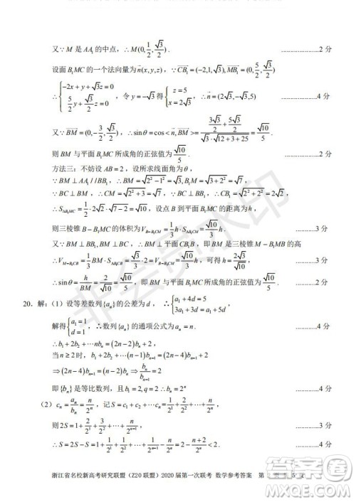
Z20联盟浙江省名校新高考研究联盟2020届第一次联考数学试题及答案小编已经收集整理好了,需要核对参考的伙伴来答案圈看看吧

本次联考的其他科目的答案小编也有整理,需要参考的伙伴直接来答案圈查看









Z20联盟浙江省名校新高考研究联盟2020届第一次联考物理试题及答案
2019-08-31 09:20:02
Z20联盟浙江省名校新高考研究联盟2020届第一次联考物理试题及答案小编已经收集整理在答案圈了,练习完的伙伴来看看吧!Z20联盟浙江省名校新高考研究联盟2020届第一次联考物理试
Z20联盟浙江省名校新高考研究联盟2020届第一次联考技术试题及答案
2019-08-28 14:37:57
Z20联盟浙江省名校新高考研究联盟2020届第一次联考技术试题及答案小编已经收集整理在答案圈了,练习完的伙伴来看看吧!Z20联盟浙江省名校新高考研究联盟2020届第一次联考技术试
Z20联盟浙江省名校新高考研究联盟2020届第一次联考历史试题及答案
2019-08-27 17:30:46
Z20联盟浙江省名校新高考研究联盟2020届第一次联考历史试题及答案小编已经收集整理在答案圈了,练习完的伙伴来看看吧!Z20联盟浙江省名校新高考研究联盟2020届第一次联考历史试
Z20联盟浙江省名校新高考研究联盟2020届第一次联考语文试题及答案
2019-08-27 17:11:26
Z20联盟浙江省名校新高考研究联盟2020届第一次联考语文试题及答案小编已经收集整理在答案圈了,练习完的伙伴来看看吧!Z20联盟浙江省名校新高考研究联盟2020届第一次联考语文试