小编收集整理了2019年高考真题北京卷理数试题及答案,需要答案的学生可以及时核对哦













2019高考语文全国丙卷试卷真题及答案
2019-06-08 21:33:16
全国卷的语文一般阅读量还是蛮大的,这次的作文考的是漫画作文,也算是一个情感的考核,主要是针对毕业生的师生关系的一个作文。那么阅读题难不难呢?一起来看看吧!2019高考语文全国
2019高考全国丙卷文科数学答案
2019-06-08 21:28:15
这次收集整理的高考真题,还是有很多分类的,全国卷有三大分类,甲乙丙也就是一二三,还有北京卷等地区卷,在核对答案的时候要区分开来哦!2019高考全国丙卷文科数学答案以下便是文科的
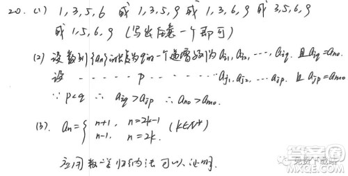
2019高考全国丙卷理科数学答案
2019-06-08 21:25:30
全国卷分为甲乙丙,也叫一二三,这次收集整理的是丙卷的理科数学的答案,使用这个卷的学生可以来答案圈核对一下答案。2019高考全国丙卷理科数学答案以下便是答案和真题,在核对的时
2019高考全国乙卷语文试卷答案
2019-06-08 21:19:52
全国乙卷就是全国一卷了,只不过有很多种说法,这次收集的就是乙卷的答案了,感兴趣的可以来看看!2019高考全国乙卷语文试卷答案以下是2019年普通高等学校招生全国统一考试的语文试