2019年大庆实验高三得分训练三文科数学试题及答案小编已经收集整理好了,需要核对参考的伙伴注意查看哦

更多的答案大家可也直接来答案圈搜索查询








2019年大庆实验高三得分训练三英语试题及答案
2019-05-27 11:32:44
2019年大庆实验高三得分训练三英语试题及答案小编已经收集好了,需要参考的伙伴注意查看哦2019年大庆实验高三得分训练三英语试题及答案其他的大型联考小编也有整理收集,大家直
2019年大庆实验高三得分训练三语文试题及答案
2019-05-27 11:07:11
2019年大庆实验高三得分训练三语文试题及答案小编已经收集好了,需要参考的伙伴注意查看哦2019年大庆实验高三得分训练三语文试题及答案其他的大型联考小编也有整理收集,大家直
2019年赢鼎教育高考终极预测卷全国I卷文科数学试题及答案
2019-05-27 10:53:48
小编收集了2019年赢鼎教育高考终极预测卷全国I卷文科数学试题及答案,需要的学生在考完之后及时核对哦2019年赢鼎教育高考终极预测卷全国I卷文科数学试题及答案
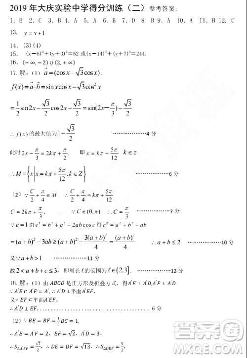
2019年大庆实验高三得分训练三理科数学试题及答案
2019-05-24 09:00:37
2019年大庆实验高三得分训练三理科数学试题及答案小编已经收集整理好了,需要核对参考的伙伴注意查看哦2019年大庆实验高三得分训练三理科数学试题及答案本次考试的其他科目的