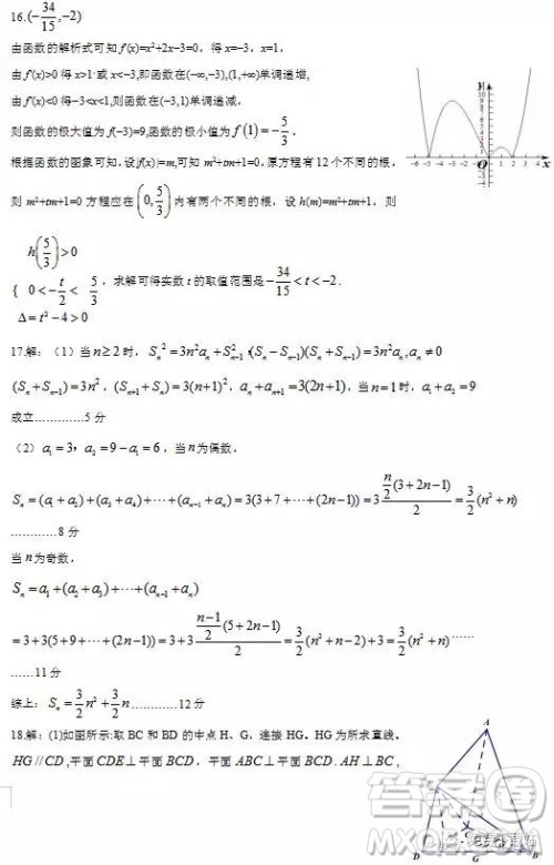
小编收集整理了2019年江西省名校临川一中、南昌二中高三5月联考文数试题及答案,需要答案的学生可以及时核对哦

本次南昌市第二中学、江西省临川第一中学联考文数试题及答案都完整的收集了,其他学科答案也可疑搜到哦,需要其他联考答案可以及时查看答案圈哦












2019年枣庄高三5月适应性考试语文试题及参考答案
2019-05-28 08:51:48
小编收集整理了2019年枣庄高三5月适应性考试语文试题及参考答案,需要答案的学生请及时核对吧2019年枣庄高三5月适应性考试语文试题及参考答案
2019年河北省衡水中学下学期高三年级三模理数试题答案
2019-05-28 08:39:23
小编收集整理了2019年河北省衡水中学下学期高三年级三模理数试题答案,需要答案的学生一定要及时核对呀2019年河北省衡水中学下学期高三年级三模理数试题答案
2019年普高招生全国统一考试冲刺预测卷六理数试题及答案
2019-05-28 08:33:05
小编收集整理了2019年普高招生全国统一考试冲刺预测卷六理数试题及答案,需要答案的学生请及时核对吧2019年普高招生全国统一考试冲刺预测卷六理数试题及答案
2019年湖南省雅礼中学三模理数试题及答案
2019-05-28 08:15:34
小编收集整理了2019年湖南省雅礼中学三模理数试题及答案,需要答案的学生可以及时核对哦2019年湖南省雅礼中学三模理数试题及答案