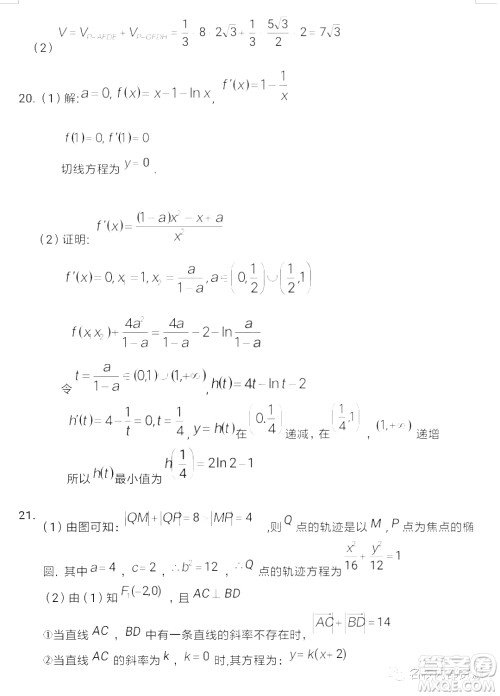
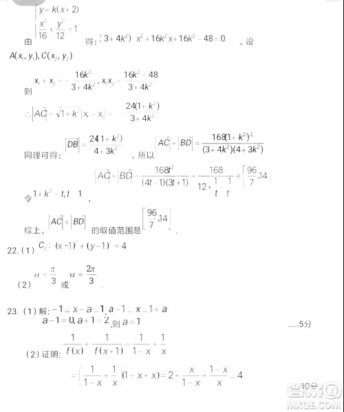
2019年哈三中高三第三次联考文科数学试题及答案小编已经整理好了,需要参考的伙伴注意查看哦

本次模拟考试的其他科目的答案小编也有整理,大家可以直接在答案圈搜索即可查看







首先考虑学校正常课时之外有多少可供自己支配的学习时间,这些时间是在早晨,还是下午或晚上;是短的,还是长的。早晨时间适合记忆,可以安排记忆的科目,下午往往做事效率高,可以完成老师布置的作业或相对较轻松的科目。晚上时间通常是自己感觉最好的时间,安排自己认为最难的科目。短的、零散的时间用来记单词,整体时间适当进行分块 争取让每天所学科目都有时间进行巩固练习。
其次我要考虑自己的强势和弱势科目,对于弱势科目平我会安排时间长些,尽量补上自己的短板,自己优势科目也不会置之不理,时间会安排少钱些,但也要保住优势。
最后是分文理科的问题,我是学理科的,计划制定中会文理搭配,不会很长时间只做一科。
刚开始时还是有些不适应的,有时一科做到兴头上就不想换科,坚持了一段时间之后才觉得按计划做事的好处,觉得每天都挺有成就感,自己想做的事都做完了。
2019年哈三中高三第三次联考英语试题及答案
2019-05-13 14:44:25
2019年哈三中高三第三次联考英语试题及答案小编已经整理好了,需要参考的伙伴注意查看哦2019年哈三中高三第三次联考英语试题及答案本次模拟考试的其他科目的答案小编也有整理
2019年哈三中高三第三次联考文科综合试题及答案
2019-05-13 14:30:54
2019年哈三中高三第三次联考文科综合试题及答案小编已经整理好了,需要参考的伙伴注意查看哦2019年哈三中高三第三次联考文科综合试题及答案本次模拟考试的其他科目的答案小编
2019年哈三中高三第三次联考理科综合试题及答案
2019-05-13 14:19:04
2019年哈三中高三第三次联考理科综合试题及答案小编已经整理好了,需要参考的伙伴注意查看哦2019年哈三中高三第三次联考理科综合试题及答案本次模拟考试的其他科目的答案小编
黑龙江省哈尔滨市第三中学2019届高三第二次模拟考试内考文科数学试题及答案
2019-04-09 08:48:34
黑龙江省哈尔滨市第三中学2019届高三第二次模拟考试内考文科数学试题及答案已经收集好了,感兴趣的同学来答案圈核对一下黑龙江省哈尔滨市第三中学2019届高三第二次模拟考试内