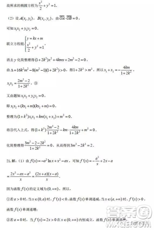
河北衡水中学2019年高考押题试卷文理数二参考答案收集完毕,需要请及时检查






















第一,学生可以适当的增加运动时间,不能把所有的时间都花在学习上,学生可以在傍晚跑步或者跑步一个小时,当然也可以做自己喜欢的运动。
第二,在饮食上在控制,尽量少吃油腻的食物,建议多吃些富含维生素的食物。
第三,晚上睡觉钱可以热水洗澡或者热水泡脚,这样可以放松身心有利于助眠。
第四,睡前可以喝杯热牛奶。睡前一杯热牛奶可以更好的使人较快速的入眠。
2019年新高考信息卷理数四试题及参考答案
2019-04-16 09:57:07
小编收集了2019年新高考信息卷理数四试题及参考答案,感兴趣的学生可以及时了解哦2019年新高考信息卷理数四试题及参考答案本次考试的参考答案收集的还是很详细完整的,相信同学
2019年全国高考冲刺压轴卷三理综试卷及参考答案
2019-04-16 09:18:49
小编收集了2019年全国高考冲刺压轴卷三理综试卷及参考答案,需要的学生快及时了解哦2019年全国高考冲刺压轴卷三理综试卷及参考答案本次考试已经结束啦,同学们在考完之后及时核
2019年全国100所名校最新高考模拟示范卷英语一、二、三、四、五、六答案
2019-04-16 09:10:42
2019年全国100所名校最新高考模拟示范卷英语一、二、三、四、五、六答案收集完整,快来看看吧2019年全国100所名校最新高考模拟示范卷英语一答案2019年全国100所名校最新高考
2019年百师联盟全国高三冲刺考二全国Ⅰ卷试题文综试卷及答案
2019-04-16 08:45:12
小编收集了2019年百师联盟全国高三冲刺考二全国Ⅰ卷试题文综试卷及答案,需要答案的学生可以看看哦2019年百师联盟全国高三冲刺考二全国Ⅰ卷试题文综试卷及答案本次百师联盟全