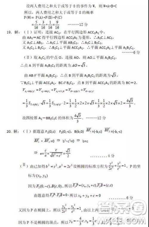
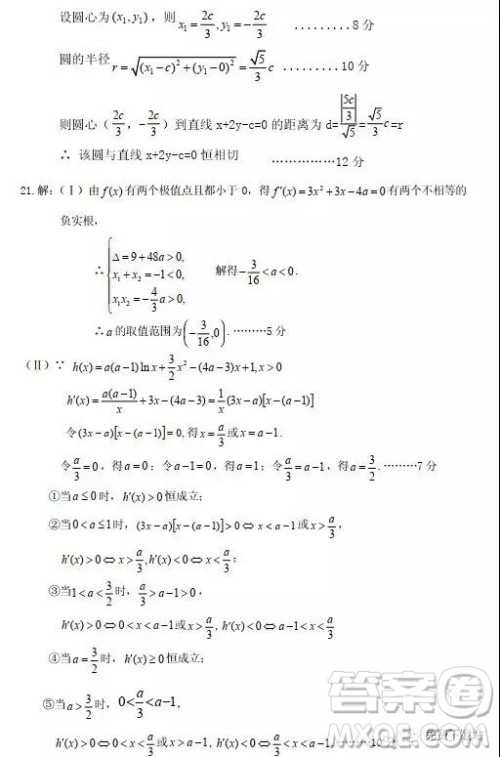
小编收集了2019年广元市第二次高考适应性诊断测试文数试卷及答案,感兴趣的学生请及时核对吧

广元市高2019届第二次高考适应性统考文数试卷及答案都完整的收集了,请及时了解吧








其实还是有机会的。当然,你足够努力,至少还是能考个100分。在我看来,高考选择题前十题分数都是可以拿到的,填空至少两道,大题前两道应该能拿满分,剩下的两道至少可以拿下第一个问的分数。选做题也是可以拿满分的。那么该怎么做呢,请个家教,帮你补习高考知识点,一个月内就能过一遍整个高中的数学知识点,前提是你真能能努力,一个月足够你背下来了。然后,就是一边做题一边补充知识点,前两个月就做基础题,先理解公式怎么用,再用两个月做中等题,最后做综合题。难题就别想了,就把中等难度题的分数拿下来就可以了。
衡水金卷2019年普通高等学校招生全国统一考试模拟试题语文五参考答案
2019-03-28 08:29:52
小编收集了衡水金卷2019年普通高等学校招生全国统一考试模拟试题语文五参考答案,快及时核对吧衡水金卷2019年普通高等学校招生全国统一考试模拟试题语文五参考答案衡水金卷20
2019年湖北八校第二次联考文理数试题及参考答案
2019-03-28 08:17:41
2019年湖北八校第二次联考文理数试题及参考答案,小编收集的还是很详细完整的,本次湖北八校包含鄂南高中、华师一附中、黄冈中学、黄石二中、荆州中学、孝感高中、襄阳四中、襄
2019年3月安阳二模高三英语参考答案
2019-03-27 17:38:54
小编收集了2019年3月安阳二模高三英语参考答案,感兴趣的学生一定要及时核对哦2019年3月安阳二模高三英语参考答案本次考试的参考答案收集完整啦,考完后一定要及时了解哦高考英
2019年湖北八校第二次联考语文试题及参考答案
2019-03-27 17:07:25
小编收集了2019年湖北八校第二次联考语文试题及参考答案,感兴趣的学生请及时核对吧2019年湖北八校第二次联考语文试题及参考答案高考前如何提高语文成绩?首先是端正态度,从思想