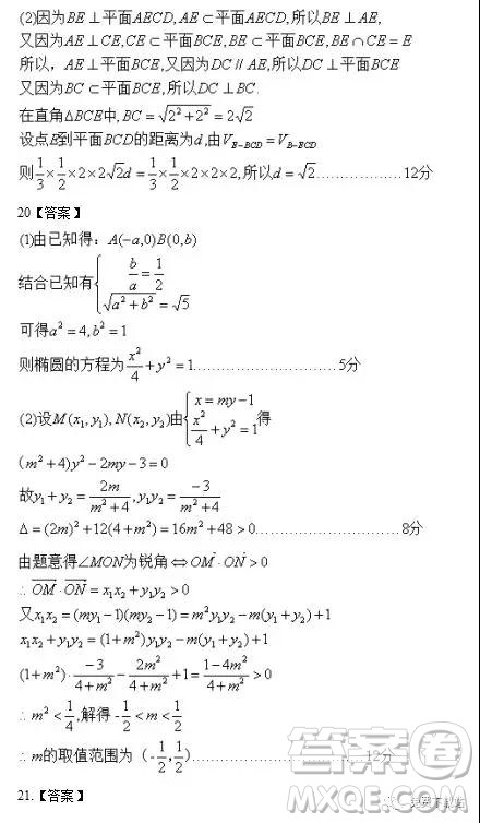
小编收集了2019年山西省吕梁市高三年级第一次模拟考试文数答案,需要答案的学生快及时核对吧

2019年山西省吕梁市高三年级第一次模拟考试文数答案已经收集好啦,考完快来看看吧













首先,制定一个适合自己的学习计划,应该是一个真正的开始。什么叫适合自己的计划,就是根据你的的时间和精力,可以确保完成的计划。很多人都有过计划,但是这种计划等于没有,总是超过自己的实际情况,从一开始就注定不可能完成的任务。
其次,学习的标准要提高,不要觉得自己懂了就算可以了,而要不断的确认才能通过。很多人都陷在似懂非懂的状态,而不能继续进步。懂就是,真的理解,是不怕考验的,随时都可以的状态。
最后,学习的过程不要瞻前顾后,根据自己的计划踏实学习,抱着学多少算多少的心态,完成计划就可以参加考试了。
衡水金卷2019年高三第二学期先享题五月压轴卷二语文试题及答案
2019-05-13 16:24:24
小编收集整理了衡水金卷2019年高三第二学期先享题五月压轴卷二语文试题及答案,需要答案的学生可以及时核对哦衡水金卷2019年高三第二学期先享题五月压轴卷二语文试题及答案
衡水金卷2019年高三第二学期先享题五月压轴卷一语文试题及答案
2019-05-13 16:06:15
小编收集整理了衡水金卷2019年高三第二学期先享题五月压轴卷一语文试题及答案,需要的学生可以及时核对哦衡水金卷2019年高三第二学期先享题五月压轴卷一语文试题及答案
2019年5月高三高仿真模拟浙江百校联考数学试题及答案
2019-05-13 15:53:15
小编收集整理了2019年5月高三高仿真模拟浙江百校联考数学试题及答案,考完后的学生一定要及时核对起来哦2019年5月高三高仿真模拟浙江百校联考数学试题及答案
2019年5月日照市高三校际联考文理数试题及答案
2019-05-13 15:30:57
小编收集整理了2019年5月日照市高三校际联考文理数试题及答案,考完后的学生一定要及时检查核对一下哦2019年5月日照市高三校际联考文数试题及答案2019年5月日照市高三校际联