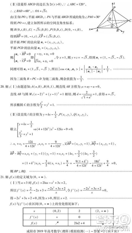
2019届陕西省咸阳市高三一模理科数学试卷及答案小编已经收集整理好了,感兴趣的伙伴来答案圈查看

这次小编是答案和试卷都有收集整理,大家可以结合自己的情况合理利用,其他科目的试题及答案小编也有收集整理大家直接在答案圈搜索即可









其实不用太关注成绩,重点是知识是否掌握好了。有自己的计划,跟上老师的计划按部就班就好。段时间内全身心投入目前的知识点,此时成绩不是目的,顶多是考察知识的工具,目前来说安稳发育是最好的,真正看成绩是最后三个月一轮复习完之后再在应试上下功夫。
你首先要分析自己为什么这么紧张。刚高三时候我也有一段特别焦虑,总感觉什么都不够,什么都完成的不好,东西很多,自己很无力。甚至每做一件事我都先想这件事和学习有没有关系,万万不可如此!此时你要看清自己,不看太远,短视也是一种能力。高三是很考验心态的,墙上的倒计时一天天减少,心态不好的话真是心如刀割,还不是一下割完,是一天一刀!后来我就想开了,刻意回避倒计时,回避不好的成绩,注意是心态上而不是不重视,把注意力放到当下要做的事情上。
再说平时成绩不能说明很多问题,我平时成绩不是多好,班里十几名二十几名甚至三十名,偶尔前十。高考时我心态不错,数学会做的就做,不会的就跳过,理综也是,没时间的就不做,把时间用在力所能及的题上,不断暗示自己,这是正常的,正常的。最后班级第三名。平时和我差不多成绩的还有不少上985的,高考黑马真的不少,我觉得是平时的考试题并不很妙,高考受益的不是刷很多题的人而是能对知识深入思考有自己见解的人。平时考试题各种牌子抄来抄去,题目死板不灵话,不看也罢。
高三真的很考验心态,心态不好一切白玩。高考前我就是有莫名的自信能考好,考试时我就想着正常发挥不强求,按部就班不慌张,这是最正确的心态了。平时也是,不强求,踏实努力,水到成渠,前面所以考试都是屁,我们是来高考的。
陕西省咸阳市2019届高三一模文科数学试卷及答案
2019-02-18 14:57:16
陕西省咸阳市2019届高三一模文科数学试卷及答案小编已经收集整理好了,感兴趣的伙伴来答案圈查看陕西省咸阳市2019届高三一模文科数学试卷及答案这次小编是答案和试卷都有收集
陕西咸阳2019届高三一模语文试卷及答案
2019-02-18 14:47:01
陕西咸阳2019届高三一模语文试卷及答案小编已经收集整理好了,感兴趣的伙伴来答案圈查看陕西咸阳2019届高三一模语文试卷及答案这次小编是答案和试卷都有收集整理,大家可以结合
永春一中培元中学季延中学石光中学2019届高三年毕业班第二次联合考试卷理科数学试题及答案
2019-02-17 10:08:40
小编这次收集的是永春一中培元中学季延中学石光中学2019届高三年毕业班第二次联合考试卷理科数学试题及答案,需要核对参考的伙伴注意查看哦永春一中培元中学季延中学石光中学
湖南省岳阳市2019届高三教学质量检测一理科数学试题及答案
2019-02-17 09:16:38
湖南省岳阳市2019届高三教学质量检测一理科数学试题及答案小编已经收集整理好了,感兴趣的伙伴注意查看哦湖南省岳阳市2019届高三教学质量检测一理科数学试题及答案其他科目的