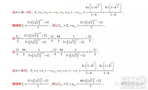
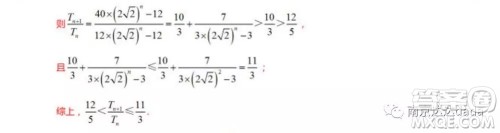
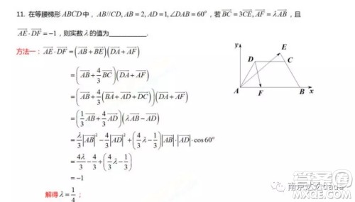
江苏省靖江中学的高三月考的数学试卷的解答题部分的答案小编已经收集整理好了,可以来答案圈看一下详细的答案解析,其他的可以在答案圈内找找哦,答案还是蛮多的。

解析如下,很多都有方法一和方法二,还是非常方便快捷的。









作为一个数学渣,曾经因为考的特别差,一个人坐教室流泪。后来,重拾信心,每天都在刷题。甚至在做梦的时候还在背公式。 我觉得,你可以把常用的公式和常见的题型抄下来贴在可以随时看见的地方,比如,镜子呀,床头呀。
还有,就是老师白天讲的题晚上回家多做几遍, 隔段时间就拿出来算一算,看一看。
正如他们所说,态度很重要,方正态度,坚持一下去。
云南省2018年秋季学期高二年级12月月考试语文试题及答案
2019-01-06 10:10:45
这次小编收集整理的是云南省2018年秋季学期高二年级12月月考试语文试题及答案,大家可以结合自己的实际情况作出针对的学习计划为期末做好准备,给自己交一个满意的答卷云南省20
湖北荆州中学2018-2019学年上学期高一12月考试语文试题及答案
2019-01-06 10:04:29
湖北荆州中学2018-2019学年上学期高一12月考试语文试题及答案小编已经整理完成了,需要核对参考的伙伴及时来答案圈查看湖北荆州中学2018-2019学年上学期高一12月考试语文试题
湖北省随州市第二高级中学郧阳中学2018-2019学年高二12月月考语文试题及答案
2019-01-06 08:53:25
湖北省随州市第二高级中学郧阳中学2018-2019学年高二12月月考语文试题及答案小编已经整理完成,需要核对参考的伙伴及时来答案圈查看湖北省随州市第二高级中学郧阳中学2018-20
2019银川一中高三第五次月考理综试题及参考答案
2019-01-05 11:24:59
小编收集了2019银川一中高三第五次月考理综试题及参考答案,请注意核对吧2019银川一中高三第五次月考理综试题及参考答案答案已经完整收录在答案圈了,其他科目的答案及试卷也有