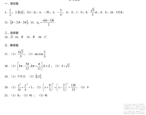
2019届上海崇明高三数学一模试卷答案小编已经收集整理好了,在做完之后可以来答案圈核对一下答案,看看自己的答案做的对不对。

其他区的可以在答案圈内搜上海+区名,比如上海金山,即可搜到 ,小编基本上上海各个区的都有收集。

先对自己的学习情况进行一个评估,看一看问题究竟出在哪里,是基础题丢分比较严重,还是概念题丢分比较严重,或者是计算就会比较严重,或者是应用题解决问题能力不足?总之肯定会有一个甚至几个原因的。
数学学习离不开基础概念的理解,概念都理解,不好的话,很难把数学成绩提高的。因此这一块是你的学习重点,把课本吃透,反复的看,所有的定理,定义,性质,都要去证明一遍,这是必须的。
然后就是大量的刷题做题。
因为高三时间比较紧张,那么在刷题和做题的时候,有针对性的去刷题和做题就非常重要了。所以在这之前,你应该整理好你的错题集或者时间来不及的话你应该把自己的薄弱项整理出来,然后找针对性的专项练习进行提高巩固。
2019届上海金山高三一模化学试卷答案
2019-01-04 10:43:39
上海金山区的高三一模化学试卷答案小编已经收集整理好了,在做完之后可以来答案圈核对一下,看看自己的答案是否正确!2019届上海金山高三一模化学试卷答案上海金山区高三一模的化
2019届上海金山高三一模英语试卷答案
2019-01-04 10:29:21
上海金山区高三一模的英语试卷答案小编已经收集整理好了,在做完之后可以来答案圈核对一下,看看自己的答案是否正确,当然其他学科和其他区的也有,可以在答案圈内直接搜就能搜到,还
2019届上海金山高三一模生物试卷答案
2019-01-04 09:44:04
上海十六个区的一模试卷和答案小编都在陆续收集,这次收集整理的是金山区的高三一模生物试卷答案,感兴趣的可以来看看!2019届上海金山高三一模生物试卷答案高三一模生物试卷的答
2019届上海虹口高三政治一模试卷答案
2019-01-03 16:50:09
上海虹口高三政治一模试卷的答案小编已经收集整理好了,在做完之后可以来答案圈核对一下,看看自己的答案是否正确,当然其他学科或者其他区的也可以在答案圈内找到,还是非常方便的