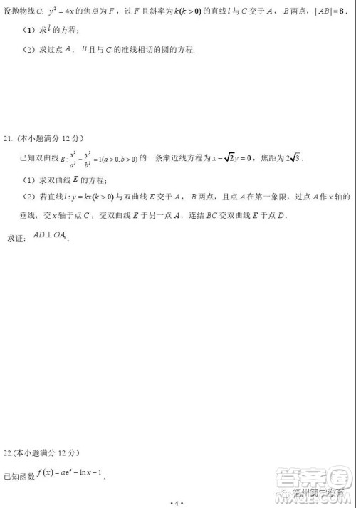
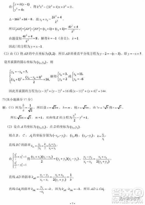
厦门湖滨中学2019届高三上阶段检测文科数学试题及答案,小编收集在答案圈了,请及时关注。

本次考试的数学参考答案小编收集在答案圈了,做完练习的学生可以及时关注进行答案的核对,分析一下自己的考试情况,及时做好笔记方便之后复习。








很多高三学生在临近高考的时候会感到压力巨大,从而产生厌学,精神上的紊乱等症状,所以家长一定要及时关注孩子的身心。
1.家长配合,很多学生的家长会在高三的时候会给孩子很大压力,比如经常询问学生的平时考试成绩等。这样的做法只会给孩子造成更大的伤害。
所以家长们应该在孩子在家的时候尽量不提及学生的成绩,偶尔询问下学生的在校表现即可。
2.制定学习计划,很多学生在学习的时候因为没有合理的安排好自己的学习计划,导致不知道在什么时候学习什么,造成很大的心理压力。制定学习计划可以使学生合理的安排自己的学习和空闲时间。在该学习的时候学习该休息的时候休息,这样才可以做到松紧有度。
3.寻找心理调节,简单的来说就是找心理医生。这种方法是最不建议的。因为一旦寻找心理医生,学生的心理就会产生抗拒情绪使其心理压力更大。所以不到万不得已,并不需要找心理医生。
长春2019届高三“一模”化学试卷及答案
2018-11-11 09:15:23
长春市普通高中2019届高三质量监测一化学试题卷和答案小编已经收集整理好了,感兴趣的可以来看看哦!长春2019届高三“一模”化学试卷及答案前面是试卷后面是答案,可以核对也可以
山东省新泰二中2019届高三上学期第二次月考语文试卷及答案
2018-11-10 10:33:12
山东省新泰二中2019届高三上学期第二次月考语文试卷及答案,小编收集在答案圈了,感兴趣的学生快及时查看山东省新泰二中2019届高三上学期第二次月考语文试卷及答案一、现代文阅
云南师大附中2019届高考适应性月考试卷三语文参考答案
2018-11-10 09:43:10
云南师大附中2019届高考适应性月考试卷三语文参考答案,小编收集在答案圈了,考完试的学生请及时查看云南师大附中2019届高考适应性月考试卷三语文参考答案本次考试试卷答案已经
南康中学2018~2019学年度第一学期高三第三次大考语文参考答案
2018-11-08 17:37:43
江西省南康中学2019届高三上学期第三次月考语文答案,小编收集在答案圈了,答案解析很详细,希望学生能认真核对,仔细分析这次考试自己的情况南康中学2018~2019学年度第一学期高三第