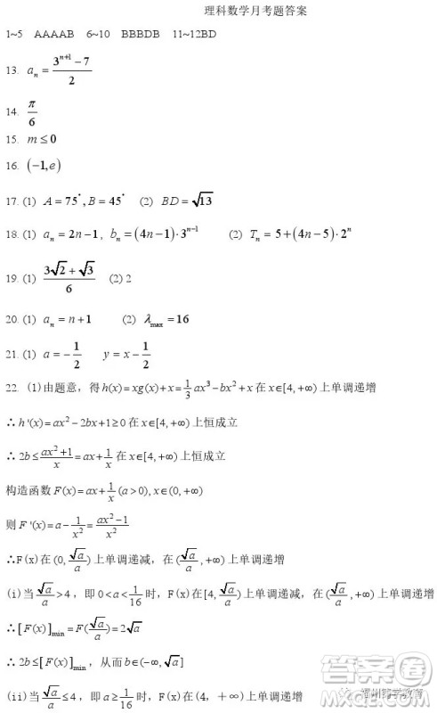
哈尔滨六中高三月考理科数学试题小编已经收集整理好了,想要核对一下自己的答案的可以来看看哦,当然也有试题,可以方便高二的学生进行自我检测。

高三月考的试题和答案如下,前面是试题,后面是答案!这个是哈尔滨六中的试题,更多哈尔滨地区的高三月考试题小编会陆续收录!






高三的考试繁多,小考大考经常有,每一次考试既是对前段时间复习成果的考察,又是检验自己是否有进步的好机会。高三阶段,老师时时给同学们营造考试的氛围,不仅是考察所学知识掌握水平,又是锻炼学生适应并习惯考试的方式。
如果能认真对待每一次考试,不过分关注分数,而是把注意力集中到失分的知识点上,把失分的知识点弄懂吃透,争取下次不再犯同样的错误,那么每次考试都会有进步,都是在逐步完善自己的知识体系。
要想经历高三“狂轰乱炸”的考试而笑到最后,就要认真对待每一次考试,并且不计较每次考试得失,只在乎是不是从每次的考试中,都能找到自己的不足之处并且改正。每次进步一点点,逐渐积累,定能在最后关键的高考中,取得令人欢笑的成绩。
哈尔滨松雷中学2018-2019九年级十月月考数学试题及答案
2018-11-06 15:51:24
初三月考也是非常频繁的,而且月考大家都很重视,小编这次收集整理的是松雷中学九年级的十月月考数学试题和答案,感兴趣的可以来答案圈看看哦!哈尔滨松雷中学2018-2019九年级十月
广东省深圳市红岭中学2019届高三第二次月考语文答案
2018-11-06 14:45:07
广东省深圳市红岭中学2019届高三第二次月考语文答案,小编收集在答案圈了,请随时查看广东省深圳市红岭中学2019届高三第二次月考语文答案本次统考的语文试卷参考答案小编已经收
2018—2019年度范亭中学高三第二次月考语文参考答案
2018-11-06 14:19:48
2018—2019年度范亭中学高三第二次月考语文参考答案,小编收集在答案了,请注意查看2018—2019年度范亭中学高三第二次月考语文参考答案答案及解析小编收集的很详细完整了,学生要
昆明一中2019届高三第三次月考英语参考答案
2018-11-05 18:53:17
昆明一中2019届高三第三次月考英语参考答案,小编已经整理在答案圈,需要了解自己学习情况的来看看昆明一中2019届高三第三次月考英语参考答案英语的答案比较简单,其考核的知识