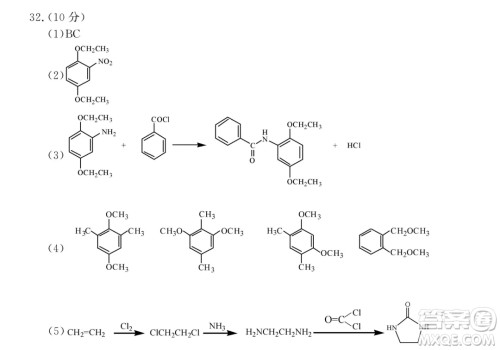
浙江选考已经结束了,那么答案呢?你知道自己对了多少题目吗?小编这边收集的是浙江选考化学的答案,感兴趣的可以来看看哦!

以下便是答案,看看你对了多少吧!



1.首先做好课前预习,使自己清楚每节课大致内容,哪些内容看明白了.哪些内容难于理解,做到心中有数。
2.课堂用心听讲.积极思考是关键,要认真回答.完成老师提出的每个问题,提高举一反三的能力。善于总结,认真观察分析每个化学实验,知其反应实质并能得出正确结论。
3.做好课下复习反馈,认真做习题.套题,做到当天的问题当天解决"不欠帐"。通过有效的复习提高分析问题和解决问题的能力。要相信自己不要盲目补课。
浙江地区进行化学选考,其实也是对化学的一个检验,浙江的综合训练六选三,其他学科也是要进行相应的考试的,而不是其他学科直接放弃。