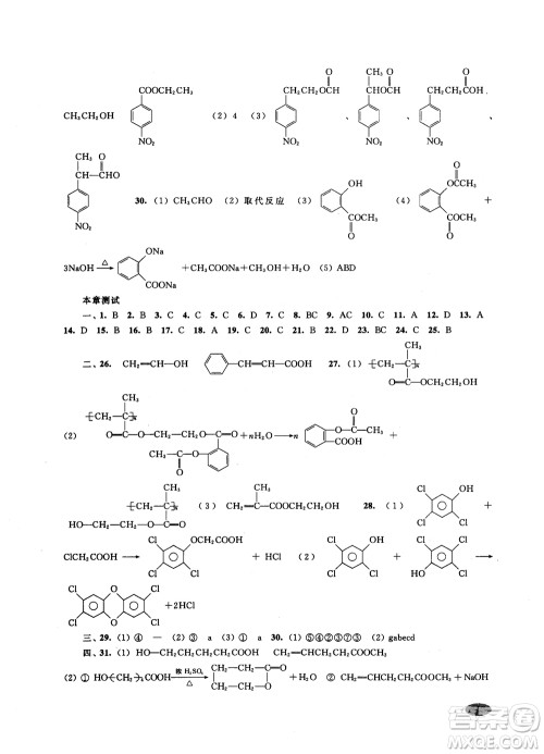
2018年高三年级新思路辅导与训练化学参考答案,小编已经整理完成,感兴趣的来答案圈看看

ISBN编号:9787547807170上海科学技术出版社出版时间:2011年7月书名:新思路 辅导与训练化学高中三年级























1.这是最最最关键的一点,兴趣,真的,兴趣是最好的老师,有了兴趣就会想学,想学才有可能学好。如果你没有兴趣的话,就需要培养一下了,化学兴趣还是比较好培养的,毕竟化学是以实验为基础的科学,可以去网上买做实验的仪器和试剂,化学实验还是很有趣的。 2.化学它毕竟是一门理科,虽然他的知识很细碎,但是我们还是要把它当成一门理来学,因此很多人说要死记硬背,我觉得太荒唐了,最最最重要的其实是理解,根本不是被,举两个最简单的例子。第一,氧化还原反应方程式的书写,你背吧,背一辈子也背不完,而且考试考的永远是你没见过的。第二原电池电极方程式的书写,和上面一样,考试考的你绝对没见过的做题,虽然题海战术已经不适用了,但是没有题是万万不行的。 就这些了。
2018年新思路辅导与训练物理高二年级上第一学期参考答案
2018-10-18 14:41:58
2018年新思路辅导与训练物理高二年级上第一学期参考答案,给你更多的解题思路和方法,感兴趣的来看看2018年新思路辅导与训练物理高二年级上第一学期参考答案ISBN编号:97875478
2018年新思路辅导与训练高中数学高二第一学期参考答案
2018-10-18 14:28:12
2018年新思路辅导与训练高中数学高二第一学期参考答案,小编已经整理在答案圈了,需要的来看看2018年新思路辅导与训练高中数学高二第一学期参考答案ISBN编码9787547830758上海
2018年新高考新思路辅导与训练数学高中三年级参考答案
2018-10-18 14:20:06
2018年新高考新思路辅导与训练数学高中三年级参考答案,小编已经整理完成,需要的额来答案圈查看2018年新高考新思路辅导与训练数学高中三年级参考答案ISBN编号:9787547830543
2018年新思路辅导与训练物理九年级参考答案
2018-10-18 13:37:17
2018年新思路辅导与训练物理九年级参考答案,给物理学习增添更多的新思路,感兴趣的来看看2018年新思路辅导与训练物理九年级参考答案ISBN编号: 9787547807118出版社名称:上海