首页小学初中高中专题
当前位置:首页 > 高中答案网 > 高中三年级答案

成都七中2024届高三上学期理数周测试题答案

时间:2023-09-21 11:18:29    作者:答案圈
标签:
高三模拟   2024高三模拟考试答案

小编这次收集整理的是成都七中2024届高三上学期的理数周测试题答案,这个是9月19日的考试,感兴趣的可以来练习一下,这个还是挺适合数学练习的,四川地区的都可以使用。qk4答案圈

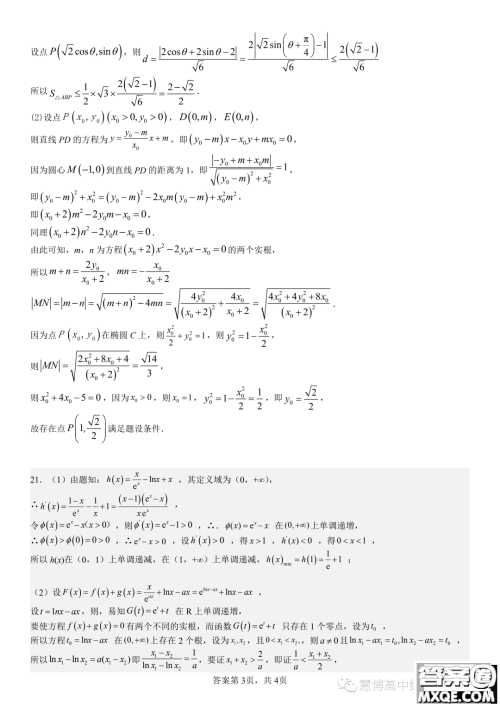
成都七中2024届高三上学期理数周测试题答案qk4答案圈

成都七中2024届高三上学期理数周测试题答案

答案如下,仅供参考!qk4答案圈

成都七中2024届高三上学期理数周测试题答案qk4答案圈

成都七中2024届高三上学期理数周测试题答案qk4答案圈

成都七中2024届高三上学期理数周测试题答案qk4答案圈

成都七中2024届高三上学期理数周测试题答案qk4答案圈

成都七中2024届高三上学期理数周测试题答案qk4答案圈

成都七中2024届高三上学期理数周测试题答案qk4答案圈

成都七中2024届高三上学期理数周测试题答案qk4答案圈

成都七中2024届高三上学期理数周测试题答案qk4答案圈


qk4答案圈

查看更多答案
相关文章
四川南充2024届高三高考适应性考试零诊理科数学试题答案 2023-09-21 10:46:40

小编这次收集整理的是四川南充2024届高三高考适应性考试零诊的理科数学试题答案,考试时间2023年9月19日下午15:00-17:00,这个系列的还有其他学科的,有需要的可以站内直接搜南充

百师联盟2024届高三9月一轮复习考试新高考卷语文试题答案 2023-09-20 15:25:44

小编这次收集真理的是百师联盟2024届高三9月一轮复习考试新高考卷的语文试题答案,有详细的评分意见和解析,这个还是非常不错的,也是为了让学生了解知识点,解析答案主要还是为了

宜荆荆恩2024届高三起点考试物理试卷答案 2023-09-20 14:34:19

小编这次收集整理的是宜荆荆恩2024届高三起点考试的物理试卷答案,本试卷共6页,全卷满分100分,考试用时75分钟。这个系列的还是非常不错的,感兴趣的可以来看看,检查一下自己做的对

炎德英才大联考长郡中学2024届高三月考试卷一英语试卷答案 2023-09-20 14:02:17

小编这次收集整理的是炎德英才大联考长郡中学2024届高三月考试卷一的英语试卷答案,本试卷共10页,时量120分钟,满分150分,这个系列的还是很不错的,感兴趣的可以来看看哦!炎德英才大

专题推荐

2023口算大通关系列答案

2023阳光同学计算小达人系列答案

2023春季53全优卷下册系列答案

2023全品学练考初中系列答案

相关专题
课后作业答案
数学
语文
英语
历史
地理
政治
物理
化学
生物
其他
网友留言
最新更新
江西稳派2024届高三10月统一调研测试数学试卷答案
高三联考 高三模拟试卷 2024高三模拟考试答案
江西稳派2024届高三10月统一调研测试语文试卷答案
高三联考 高三模拟试卷 2024高三模拟考试答案
金科大联考2024届高三10月质量检测英语试卷答案
高三联考 高三模拟试卷 2024高三模拟考试答案
金科大联考2024届高三10月质量检测数学试卷答案
高三联考 高三模拟试卷 2024高三模拟考试答案

资源已下架