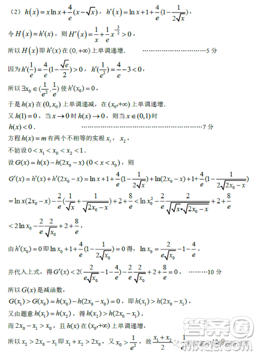
小编这次收集整理的是淄博市2022-2023学年度高三模拟考试的数学试卷答案,这个系列的试卷还是很不错的,收集的是淄博市一模联考的数学习题答案,想要进行模拟练习的可以来看看哦!

答案如下,仅供参考!













2023年2月潍坊市高考模拟考试日语试卷答案
2023-02-27 17:34:31
小编这次收集整理的是潍坊市的高考模拟考试2023年2月份的日语考试试卷的习题和参考答案,日语考试模拟试卷整合的相对来说还是比较少的,想要参考模拟考试的可以来做做习题自我
2023年宝鸡市高考模拟检测二数学文科试卷答案
2023-02-27 09:27:31
小编这次收集整理的是2023年宝鸡市高考模拟检测二的数学文科试卷答案,本次试卷模拟考试是宝鸡二模,前面整合了语文、理科数学,这次的是文科数学的考试,感兴趣的可以来看看,做完了
2023年宝鸡市高考模拟检测二数学理科试卷答案
2023-02-27 09:13:25
小编这次收集整理的是2023年宝鸡市高考模拟检测二的数学理科试卷答案,这个系列的还有其他学科的宝鸡二模考试试卷习题和参考答案,站内直接搜宝鸡市就可以了,不要照抄,做完了再来
2023年宝鸡市高考模拟检测二语文试卷答案
2023-02-27 08:53:55
小编这次收集整理的是2023年宝鸡市高考模拟检测二的语文试卷答案,本次试卷就是宝鸡二模考试的语文试卷了,其他学科的也有整合,宝鸡市的复习进度也是蛮快的了,很多地区刚刚考完一