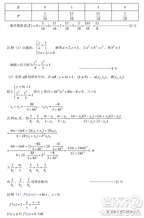
小编这次收集整理的是2023届湖北省荆荆宜仙高三下学期2月联考的数学试题答案,命题学校是荆州中学,审题学校是龙泉中学,这个系列的试卷还是非常不错的,感兴趣的可以来看看哦!

答案如下,仅供参考!















2024年高考新课标I卷语文试卷答案
2024-06-09 09:12:29
今天小编为同学们整理了2024年高考新课标I卷语文试卷及答案,对于同学们来说,语文科目是很重要的,同学们考完如果想要估分的话可以对照了解一下。当然,这份答案仅供参考,具体内容
2024年高考新课标I卷英语试卷答案
2024-06-09 08:52:15
今天小编为同学们整理了2024年高考新课标I卷英语答案,对于高考生来说,英语科目是很重要的,同学们如果想要估分的话可以对照了解。当然,这份答案仅供参考,具体内容以官方公布的为
2024年高考新课标II卷数学试卷答案
2024-06-09 08:36:56
今天小编为同学们整理了2024年高考新课标II卷的数学试卷答案,前面是试题后面是答案,这个是新课标II卷,想要评估和模拟练习的同学可以来看一看,检查自己做的对不对,大概可以得多少
2024年高考新课标I卷数学试卷答案
2024-06-08 16:12:10
今天小编为同学们整理了全国高考数学试卷的新课标I卷的试卷习题和答案参考,想要评估和模拟练习的同学们可以来看看,检查一下自己做的对不对,大概可以得多少分。2024年高考新课