小编这次收集整理的是江西省重点中学协作体2023届高三第一次联考的文科数学试卷答案,还有语文试卷也有收集整理,站内直接搜江西省就可以了,这个是九江一中和抚州一中命题的,还是非常不错,二月初的考试,快来看看吧!

答案如下,仅供参考!










江西省重点中学协作体2023届高三第一次联考语文试卷答案
2023-02-03 11:12:16
小编这次收集整理的是江西省重点中学协作体2023届高三第一次联考的语文试卷答案,这个是吉安县中和高安中学联合命题的,二月初的考试,试卷水平不错,想要进行模拟的可以来练习一下
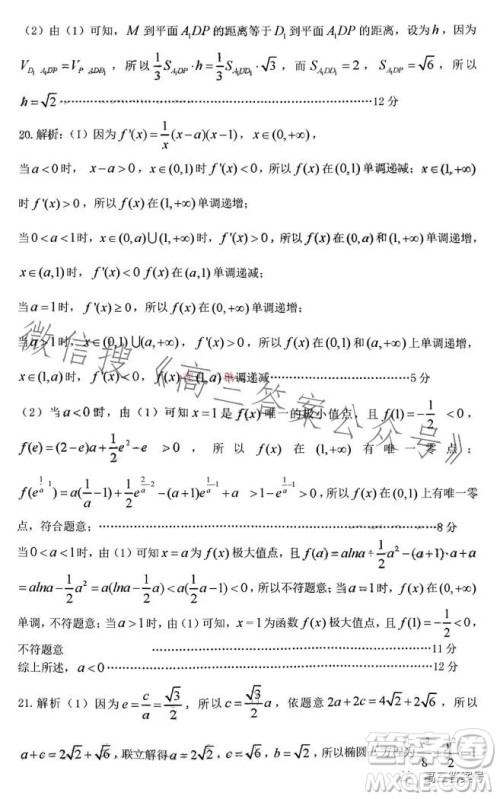
2023届湖北名校联盟第三次联合测评数学试题答案
2023-02-02 10:38:13
小编这次收集整理的是2023届湖北名校联盟第三次联合测评的数学试题答案,这个是宜昌一中命题的,2023年2月1日考试的,是湖北重点中学的开学联考,含金量还是很高的,感兴趣的可以来看
南京2022-2023学年第二学期1月六校联合调研试题高三数学试卷答案
2023-01-31 17:56:31
小编这次收集整理的是南京2022-2023学年第二学期1月六校联合调研试题的高三数学试卷答案,六校联合开学考,这个是2023年1月29日考试的试卷,最新出题,还是非常不错的,其他想要进行
河北省2023届高三年级1月质量监测考试语文试卷答案
2023-01-31 10:45:42
小编这次收集整理的是河北省2023届高三年级1月质量监测考试的语文试卷答案,本试卷共8页,满分150分,考试用时150分钟,做完了之后可以来看看哦,检查一下自己做的对不对吧,刚开学要多