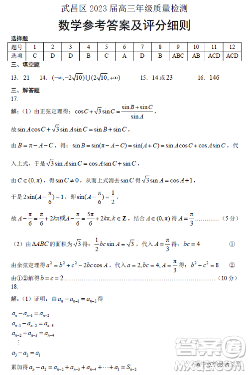
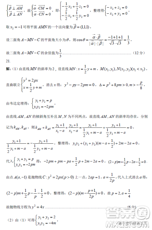
小编这次收集整理的是湖北省武昌区2023届高三元月调考的数学试题答案,这个是最近刚刚考试完的,想要进行模拟训练的可以来看看,根据得分点来自己评估打分,还是非常不错的,不要照抄答案,练习还是很有必要的!

答案如下,仅供参考!











百师联盟2023届高三一轮复习联考五全国卷语文试卷答案
2023-01-12 17:45:15
小编这次收集整理的是百师联盟2023届高三一轮复习联考五全国卷的语文试卷答案,新高考卷的版本也有整合,有需要的可以站内搜百师联盟,这个系列的考试还是很多地区学校都在是油腻
百师联盟2023届高三一轮复习联考五理科综合试卷答案
2023-01-12 17:04:36
小编这次收集整理的是百师联盟2023届高三一轮复习联考五理科综合的试卷题目和参考答案解析,解析还是很详细的,得分点也很清楚,在做完了之后可以根据解析来自我评估打分,了解考点
百师联盟2023届高三一轮复习联考五数学试卷答案
2023-01-12 16:44:54
小编这次收集整理的是百师联盟2023届高三一轮复习联考五的数学试卷答案,这个系列的其他学科的站内也有整理,直接搜百师联盟就可以了,多做模拟练习对于学习还是非常有好处的,可以
百师联盟2023届高三一轮复习联考五新高考语文试卷答案
2023-01-12 16:28:20
小编这次收集整理的是百师联盟2023届高三一轮复习联考新高考卷的语文试卷答案,百师联盟还是很出名的,很多地方都在使用这套试卷,想要进行模拟复习的可以来看看,在考试时间内做完